Demostración Experimental de la Ley de Enfriamiento de Newton y su comparación con la solución de la Ecuación Diferencial de primer orden correspondiente
Las ecuaciones diferenciales tienen una gran variedad de usos en las ciencias básicas, uno de los ejemplos de su aplicación se encuentra en la ley de enfriamiento de Newton, en la elaboración del presente artículo se realizó un experimento sobre enfriamiento y se analizó la correspondencia de los valores con los resultados obtenidos al resolver analíticamente la ecuación diferencial correspondiente.
Isaac Newton observo que mientras mayor sea la temperatura de un cuerpo, más rápido tiende a enfriarse, en base a estas observaciones y a sus avances en el cálculo diferencial e integral dedujo la ley sobre el enfriamiento de los cuerpos que hoy lleva su nombre, según Barroso (2018) la ley de enfriamiento de Newton plantea lo siguiente:
La temperatura de un cuerpo cambia a una velocidad que es proporcional a la diferencia de las temperaturas entre el medio externo y el cuerpo. Suponiendo que la constante de proporcionalidad es la misma ya sea que la temperatura aumente o disminuya, entonces la ecuación diferencial de la ley de enfriamiento es:
Donde t representa el tiempo transcurrido, T la temperatura del cuerpo en un instante de tiempo, Tm la temperatura media del ambiente y k una constante de proporcionalidad. Para aplicar esta ley las temperaturas suelen ser medidas en grados Fahrenheit (°F).
En el presente estudio se recabaron una serie de datos experimentales y se aplicó esta ecuación diferencial con las condiciones de frontera obtenidas, el experimento consistió en medir la temperatura de un termómetro que se introduce en un refrigerador para luego colocarlo fuera del refrigerador a temperatura ambiente y observar como aumenta la temperatura en función del tiempo evaluando su correspondencia con los resultados obtenidos mediante la ley de enfriamiento de Newton.
Mediciones de la Temperatura en distintos instantes de tiempo
En primer lugar se midió la temperatura ambiental, luego se introdujo un termómetro en el congelador de un refrigerador midiéndose la temperatura en el interior, posteriormente se extrajo dicho termómetro y se midió la temperatura al transcurrir 2 y 3 minutos, estas mediciones fueron realizadas en la ciudad de Santa Ana de Coro Estado Falcón el día 04 de abril de 2018 a partir de las 3:50 pm, Los datos obtenidos se muestran en las siguientes imágenes.

Imagen N° 1 Temperatura ambiental antes de realizar el experimento 3:50:00 pm (86 °F). Fuente: Fotografía tomada por el autor del artículo

Imagen N° 2 Temperatura del termómetro en el instante en que es retirado del refrigerador 3:58:00 pm (18 °F). Fuente: Fotografía tomada por el autor del artículo

Imagen N° 3 Temperatura luego de 2 minutos de retirar el termómetro del refrigerador 4:00:00 pm (68 °F). Fuente: Fotografía tomada por el autor del artículo

Imagen N° 4 Temperatura luego de 3 minutos de retirar el termómetro del refrigerador 4:01:00 pm (76 °F). Fuente: Fotografía tomada por el autor del artículo
Análisis de los datos obtenidos (Ley de enfriamiento de Newton)
En base a los datos obtenidos se elaboró la siguiente tabla:
| Tiempo (t) | Temperatura (T) |
|---|---|
| 0 Seg | 18 °F |
| 120 Seg | 68 °F |
| 180 Seg | 76 °F |
Luego de recabar esta información se aplicó la ley de enfriamiento al caso de estudio en cuestión. La ley de enfriamiento de Newton se expresa como:
Al sustituir el valor de la temperatura ambiental (86 °F) se obtiene
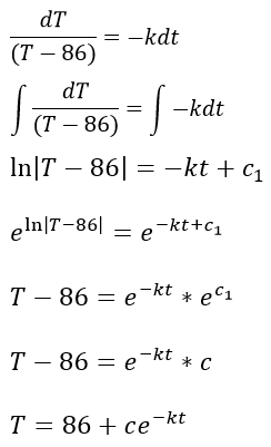
Esta ecuación diferencial es separable por lo que se resuelve colocando de un lado la variable correspondiente a la temperatura y del otro la correspondiente al tiempo e integrando ambos miembros:
Esta solución posee dos constantes c y k cuyos valores se desconocen, por lo tanto se necesitan dos condiciones de frontera para poder encontrar los valores de c y k, estas condiciones vienen dadas por la temperatura en el instante inicial y la temperatura a los 2 minutos de haber sacado el termómetro del refrigerador.
Sustituyendo la primera condición en la solución se obtiene
Ahora se sustituye el valor de c y la segunda condición en la solución
Con lo cual la solución particular de la ecuación diferencial planteada es
Si se sustituye en esta expresión t=180seg se obtiene
Lo cual corresponde aproximadamente con los datos obtenidos para el momento en que han transcurrido 3 minutos desde que se extrajo el termómetro del refrigerador según la imagen N° 4, se puede apreciar claramente que si t tiende a infinito se cumple que:
Lo cual coincide con la idea de que mientras más tiempo transcurra la temperatura del termómetro tenderá a igualarse con la temperatura ambiental.
CONCLUSIONES
Cuando el tiempo(t) tiende a infinito, la temperatura(T) tiende a igualarse con la temperatura media ambiental (Tm).
Para variaciones grandes de la temperatura la ley de enfriamiento de Newton no es precisa razón por la cual se aplican otros modelos que estudian el flujo del calor.
EQUIPOS UTILIZADOS PARA RECABAR LOS DATOS
Termómetro Corp Gadiel.
Teléfono ZTE Z432 para tomar las fotografías de las distintas mediciones.
REFERENCIA ELECTRÓNICAS
- Barroso, Mario (2018) LEY DE ENFRIAMIENTO DE NEWTON. Disponible en http://ciencia-basica-experimental.net/newton.htm










Este es un claro ejemplo de la interrelación de las ciencias!
Es un punto de convergencia (STEM) que fue muy bien planificado y pensado por los fundadores de la comunidad científica #steemSTEM.
Buen trabajo mi estimado @ydavgonzalez
Saludos estimado @iamphisycal, gracias por el apoyo, ya corregí el enlace la imagen inicial esta licenciada bajo:
CC0 Creative Commons (Dedicación a Dominio Público)
Gratis para usos comerciales
No es necesario reconocimiento
¡Felicitaciones! ¡Este post ha sido galardonado con un 100% de votos positivos por @sorteo! Esta publicación se seleccionó entre todas las publicaciones recientes como ganadora de la lotería #94, que no tenía participantes válidos. ¡Puedes volver a ganar participando en la lotería habitual de @sorteo! Para nominar una publicación para la lotería regular, solo envíe 0.1 SBD o STEEM a @sorteo, e incluya la url de la publicación que le gustaría nominar como una nota. ¡Buena suerte!
Hola estimado @ydavgonzalez. La información que nos ofreces es sumamente importante en las ciencias, particularmente en experimentos que debemos controlar la temperatura y el enfriamiento de determinadas soluciones. Saludos.
Así es, saludos @viannis.
Buen desarrollo del post amigo. Sencillo experimento para explicar esta ley y el uso de la ecuaciones diferenciales. Saludos.
Si, las E.D.O. tienen muchas aplicaciones con las que podemos experimentar, Saludos @emiliomoron.
nice post, very helpful
Experimento muy ilustrativo y educativo, aprecio infinitamente estas demostraciones prácticas del conocimiento ya que alientan a todos a adentrarse en las ciencias y encontrar la razones de por qué el mundo que nos rodea se comporta como se comporta