• Sign in
  • Sign up 
  • Welcome
  • FAQ
  • Switch to Night Mode
  • Stolen Accounts Recovery 
  • Change Account Password 
  • Vote for Witnesses 
  • Steem Proposals 
  • Third-party exchanges:
  • Poloniex 
  • Advertise 
  • Jobs at Steemit 
  • Developer Portal 
  • Steem Bluepaper 
  • SMT Whitepaper 
  • Steem Whitepaper 
  • Privacy Policy
  • Terms of Service
Home
LoginSign up

Answers to mathematics on 9/10/2020

chenqin (25)in #answers • 6 years ago

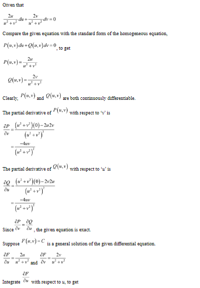
Capture 2.PNG

Capture 3.PNG

Capture.PNG

Please leave a Upvote!

#math
6 years ago in #answers by chenqin (25)
$0.00
    2 votes
    • + chenqin
    • - drelist
    Reply 0