HERRAMIENTAS SENCILLAS PARA ENFRENTAR LA MATEMÁTICA Y LA VIDA /PARTE II

in #castellano8 years ago (edited)

Matemática
Fuente

Como ustedes recordarán, en mi post anterior comencé a explicar algunos aspectos importantes a la hora de enfrentar un ejercicio matemático, sobre todo aquellos que guardan una vinculación estrecha con la vida cotidiana. En esta ocasión ofrezco una continuación de ello, para cuya comprensión no necesariamente se tuvo que haber leído la anterior entrega. Sin embargo aquí anoto el acceso a [1]
Inicialmente, quiero resaltar (entre otros, claro) como elemento importante a la hora de interpretar un ejercicio matemático; que debe considerarse a cada número real, como resultado de la multiplicación del mismo número por la unidad; esto es, si “a” es un número real [2], entonces a= a.1.
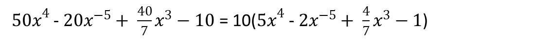
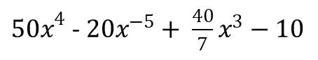
Supongamos que queremos factorizar la expresión:

Herramientas mat 1.jpg

Vemos que todos los coeficientes (los números que acompañan a las variables) son múltiplos de 10, entonces la opción a considerar para poder factorizar esta expresión, es la de sacar factor común, el cual, en este caso es el máximo común divisor (mayor de los divisores comunes entre: 50, 40, 20 y 10) es: 10.
De modo que expresión

Herramientas mat 2.jpg

Observe que el último término es -1, esto se debe a que -1.10= -10
Es pertinente mencionar que la factorización por factor común es el proceso contrario a la propiedad distributiva de la multiplicación con respecto a la adición.
(Observación: siempre que haya un número antes de un signo de agrupación se sobreentenderá que este número está multiplicando a todo lo que se encuentre dentro de este).
La propiedad distributiva de la multiplicación con respecto a la adición dice que:

A(B+C+…)= A.B +A.C +…

Obsérvese que si se aplica esta propiedad a:

Herramientas mat 3.jpg

Obtendremos la expresión inicial:

Herramientas mat 4.jpg

Y esta es una buena forma de comprobar si el ejercicio esta correcto.
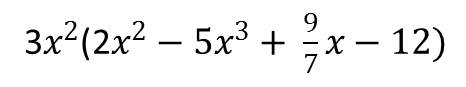
Veamos este otro ejemplo:

Herramientas mat 5.jpg

El factor común para los coeficientes evidentemente es 3. Pero sucede que también existe factor común para la variable ya que todos los términos de la expresión poseen la misma variable (lo cual es una condición necesaria para esto), en este caso el factor común para la variable es la misma variable pero elevada a su menor exponente (entre todos los exponentes se escoge el menor de ellos), en este caso es x^2.
De tal forma que el factor común es 3x^2, y por lo tanto la expresión se factoriza como:

Herramientas mat 6.jpg

Compruebala usando la propiedad distributiva de la multiplicación con respecto a la adición.
Otra observación importante, es cada número se considera como una potencia donde su exponente es la unidad, todo número real “a” se considera como a^1.
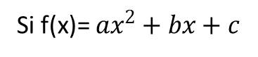
Si tenemos:

Herramientas mat 7.jpg.png

Aquí aplicamos producto de potencias de igual base, es decir, conserva la base “a” y se suman sus exponentes.
Pasemos a otro tipo de ejemplos.
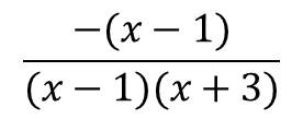
Supongamos que queremos simplificar la siguiente expresión:

Herramientas mat 8.jpg.jpg

Se ve claramente que la expresión a cancelar es x-1, ya que la tenemos tanto en el numerador como en el denominador. Eso es correcto. Pero cuál es el resultado?
Muchas personas escribirían x + 3, este es un grave error.
Como dije anteriormente, todo número se considera como una multiplicación del mismo número por la unidad, pero en este caso es -1, por lo tanto nuestro numerador es (x-1).(-1), y al simplificar nos queda:

Herramientas mat 9.jpg.jpg

Finalmente quiero desarrollar un ejercicio interesante que involucre todo o parte de lo expresado anteriormente.
Dice así:

Herramientas mat 10.jpg.jpg

Valide la siguiente expresión

Herramientas mat 11.jpg.jpg

Lo que aquí se ha llamado validación es lo que la mayoría de los libros llama demostración; en tal sentido tengo mis diferencias, por ello remito a siguiente post [3] en el cual se explican esas razones.
Validar significa desarrollar un miembro de la igualdad para llegar al otro, si se igualan los dos lados, se confirma entonces la validación.
Comencemos desarrollando el miembro izquierdo de la igualdad siguiendo el modelo inicial

Herramientas mat 12.jpg.jpg

En la expresión

Herramientas mat 13.jpg.jpg

Esto es:

Herramientas mat 14.jpg.jpg

Con lo cual se valida la igualdad planteada.
Bueno amigos, espero que les haya resultado útil este post. Si les gustó, comenten.

Imagen
Fuente

Sort:  

esto seguro resultara muy util para muchas personas.

Pues sí @doble-d, eso es lo que busco. Quiero que mis post sean útiles a quienes me leen. Gracias.

Gracias Ana, tu post resulta muy util ...es necesario romper el mito con las matemáticas, es una herramienta fundamental para nuestro tiempo.

Gracias a tí @lecroixmystique, por tu comentario corto pero lleno de buenas energías y de reconocimiento.

De verdad me encanta la forma en la que explica, es amigable y dan ganas de seguir leyendo. Gran articulo

Gracias @danielalala, y a mí me gusta la forma como te expresas.

Hola amiga @analealsuarez. Interesante tu exposición. Sin embargo, hay que mejorar tu presentación. Te sugiero te unas a mi sala de mentoría en el siguiente link https://discord.gg/6fm3P8n. Te espero, si no estoy, hay otros allí en línea. Éxitos.

Hola. Gracias por tu ofrecimiento. Allí estaré.

Coin Marketplace

STEEM 0.06
TRX 0.31
JST 0.061
BTC 68070.12
ETH 2051.98
USDT 1.00
SBD 0.50