5 Importantes recomendaciones para progresar en Steemit de forma rápida
1-Prestar mucha atención a lo que publicamos
Este punto puede parecer evidente, es de suma importancia hacer publicaciones ricas en contenido, fáciles de entender, con buena ortografía y gramática además de aprovechar el uso de imágenes como un recurso para reforzar nuestro contenido, también se deben seleccionar etiquetas apropiadas para darle visibilidad a nuestras publicaciones.
2-Aumentar nuestro Steem Power
Recordemos que al momento de realizar curaciones mientras más Steem Power(SP) tengamos mayor será la recompensa que vamos a recibir, así mismo el Steem Power hará que nuestro voto sea más valioso, para consultar el valor de nuestro voto en función de nuestro SP podemos ir al sitio web www.steemnow.com
Hay otras dos razones más para aumentar nuestro Steem Power, la primera es que la inflación anual del Steem es de aproximadamente 10% (y se reduce 0.5% anualmente), debemos tener en cuenta que es un valor relativamente bajo y que la plataforma de Steemit crece anualmente mucho más en número de usuarios por lo tanto el valor del Steem a largo plazo tenderá a subir. La segunda razón es que el 15% de la inflación anual de Steem se paga a los poseedores de Steem Power en forma de interés, con lo cual se fomenta el ahorro a largo plazo en la comunidad de Steemit.
3-Votar solo publicaciones nuevas
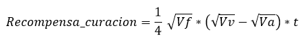
En general debemos votar solamente publicaciones nuevas, preferiblemente que tengan más de 30 minutos para poder recibir recompensas de curación significativas, la explicación de este punto radica en que la recompensa por curación se calcula de acuerdo a la siguiente formula:
Donde
Vf : Valor al final de los 7 días de la publicación
Vv: Valor de la publicación después que nosotros votamos por ella
Va: Valor de la publicación antes de que nosotros votemos por ella
t: Variable que va de 0 a 1 en función del tiempo en que votemos
Si tiempo ≥ 30 min t = 1
Si tiempo < 30 min t = (tiempo/30)
Si votamos después de los 30 minutos el valor de t será 1 que es el máximo posible, en relación al valor del producto
Lo ideal sería ser el primero en votar ya que en ese caso
El cuál es su valor máximo posible, entonces si votamos después de los 30 minutos en una publicación que nadie más haya votado:
Como votamos primero, Vv correspondería al valor de la publicación después que nosotros votamos por ella y también al valor de nuestro voto ya que antes de nuestro voto valía 0. El valor de Vf no podemos controlarlo sólo podemos intentar predecir que publicaciones alcanzarán un valor final mayor.
4-Administrar adecuadamente nuestro poder de voto
El poder de voto es uno de los conceptos más importantes en Steemit, es la capacidad que tiene cada usuario para que su voto sea efectivo al generar recompensas y curar contenidos, se mide porcentualmente y puede ir de 0% hasta 100%, si queremos consultar nuestro poder de voto podemos ir al siguiente enlace: https://steemd.com/@ydavgonzalez
Cambiando @ydavgonzalez por nuestro nombre de usuario podemos consultar una gran cantidad de estadísticas sobre nuestra cuenta incluido nuestro poder de voto.
El poder de voto decrece 2% por cada voto que realicemos sobre el porcentaje anterior a haber votado, si nuestro poder de voto es de 100% y hacemos un voto decrecerá a 98%, si es de 50% y hacemos un voto decrecerá a 49% (2% de 50% es igual a 1%), por otro lado el poder de voto se regenera 20% diario de forma lineal y continua, debido a esto si un usuario quisiera mantener su poder de voto alrededor de 100% debe tener en cuenta que puede votar diariamente como máximo 11 veces, para que la tasa de regeneración compense la tasa de decrecimiento diario, para una explicación más detallada de este punto puedes consultar el siguiente artículo https://steemit.com/cervantes/@ydavgonzalez/la-importancia-de-nuestro-poder-de-voto-y-como-administrarlo.
En base a esto es muy importante que solo votemos alrededor de 11 veces al día y seleccionemos cuidadosamente las publicaciones que nos hagan ganar mayores recompensas de curación.
5-Unirse a Comunidades y Proyectos de apoyo
En Steemit existen diversas comunidades destinadas a fortalecer proyectos de índole científica o de la lengua española tales como @cervantes, @steemstem, entre otras , estas comunidades frecuentemente organizan concursos de curaciones de alguna temática específica y por ser cuentas con mucho SP su voto suele tener mucho valor, además de atraer a muchos seguidores al participar en dichos proyectos le damos más visibilidad a nuestras publicaciones y optamos por ganar una considerable cantidad de Steem.
Si te ha gustado mi post te invito a compartir tu opinión mediante un comentario y seguirme en mi canal @ydavgonzalez donde publico diversos artículos sobre Criptomonedas, Matemática, Programación y mucho más.








gracias @ydavgonzalez soy nueva y no sabia esos tips
A la orden @yuannalyv estamos para ayudarte
¡Pues ya sabes! Quiero verte produciendo buen contenido. :) Así podré darte votitos.
Buena iniciativa en informar a la comunidad. Aunque tengo una duda con el termino "curación". ¿Que es en esta red social el curar publicaciones?
Curar, es seleccionar entre todos los post de la comunidad los artículos que dan un aporte valioso, curamos al momento de votar y si el artículo se vuelve famoso recibimos una parte de la ganancia dependiendo en que momento hayamos votado por el, es importante votar antes de que el articulo sea famoso para recibir la recompensa de curación.
Agradecido con la respuesta.
saludos Ysmael ya tienes mi voto, de igual te invito a seguirnos para apoyarnos en futuras publicaciones espero me ayudes con tu voto.
Gracias y exitos. https://steemit.com/dinero/@davidjose28/primeros-billetes-venezolanos
Muchas gracias por tus tips re-valiosos para toda esta entrada gigante que está haciendo la comunidad hispana en Steemit. Es muy agradable ver que los nuevos están siendo bien informados desde el principio! Ya quiero verlos crecer a todos toditos y verlos en las grandes ligas dentro de unos meses. <3
De nada, estamos para ayudar
Maravillosos consejos, Sigue asi!
Saludos!
Muchas gracias amigo
Datos Interesantes @Francia
Muchas gracias
Está muy bueno y completo tu post, excelente.
Saludos, :-)
Gracias
*Gracias @ydavgonzalez por algo tan detallado de la formula y SP y como usarla y el tiempo de votar.
excelente post! te felicito.
checa esto @karolvalero
[WhereIn Android] (http://www.wherein.io)