Curso básico de programación: Lección #3 Operaciones

Portada diseñada con Canva
Da un breve resumen de para que sirven las operaciones aritméticas, de comparación y lógica.
Dentro del campo de la programación existen 3 tipos de operaciones, las cuales permiten la realización de diversas operaciones y/o instrucciones. Estos son:
- Operadores aritméticos:
Los operadores aritméticos están compuestos por una serie de signos que permiten realizar operaciones aritméticas básicas y solo son aplicables o usado sobre datos de tipo numéricos.
Algunas de estas operaciones son:
Operador | Operación |
|---|---|
Ahora bien, con estos operadores aritméticos antes mencionados, es que se crean las expresiones aritméticas en las cuales se establece la manipulación de dos o mas datos numéricos, sean variables o constantes, para obtener un nuevo dato numérico como resultado.
Ejemplo:
Permite calcular y obtener el resultado de la suma de dos o mas datos numéricos, bien sean estos, enteros o reales.
// Suma
suma = x + z;
Imprimir "El resultado de sumar " x " con " z " es igual a " suma;


Permite calcular y obtener el resultado de la resta de dos o mas datos numéricos, bien sean estos, enteros o reales.
// Resta
resta = x - z;
Imprimir "El resultado de resta de" x " con " z " es igual a " resta;


Permite calcular y obtener el resultado de la multiplicación de dos o mas datos numéricos, bien sean estos, enteros o reales.
// Multiplicación
multiplicacion = x * z;
Imprimir "El resultado de multiplicar " x " con " z " es igual a " multiplicacion;


Permite calcular y obtener el resultado de la división de dos o mas datos numéricos, bien sean estos, enteros o reales.
// División
division = x / z;
Imprimir "El resultado de la división de " x " con " z " es igual a " division;


Permite calcular y obtener el residuo de una división entera, es decir, que solo se aplica a datos numéricos de tipo enteros.
// Modulo
modulo = x % z;
Imprimir "El Resultado de de dividir " x " con " z " es igual a " modulo;


- Operadores Relacionales
Los operadores relacionales o también conocidos como operadores de comparación son aquellos que permiten realizar ciertas comparaciones entre datos del mismo tipo y determinar la veracidad de una operación.
Operador | Comparación |
|---|---|
Se puede hacer uso de estos operadores relacionales para formar las expresión relacionales, las cuales nos permitirán obtener un dato de tipo lógico, es decir, que el resultado seria verdadero o falso.
Ejemplo:












- Operadores lógicos
Los operadores lógicos se utilizan para relacionar dos datos de tipo lógico y obtener de esta forma otro dato de tipo lógico, es decir, que se permite evaluar 2 expresiones relacionales al mismo tiempo.
Operador | Operación |
|---|---|
Ejemplo:
Este operador permite evaluar o determinar el cumplimiento de 2 expresiones, es decir, que solo dará como resultado "Verdadero" cuando ambas expresiones se cumplen, mientras que si alguna de las expresiones no se cumple el resultado seria "falso".
Como podemos ver en el siguiente ejemplo, se relacionan dos expresiones lógicas, en la cual si las dos notas son >= 10 entonces el resultado es Verdadero, mientras que si alguna de las notas no es >=10 entonces el resultado seria Falso.


Este operador permite evaluar o determinar el cumplimiento de al menos una de las 2 expresiones, es decir, que solo dará como resultado "Verdadero" cuando una o ambas expresiones se cumplan, mientras que si no se cumple ninguna de las dos expresiones el resultado seria "falso".
Como podemos ver en el siguiente ejemplo, se relacionan dos expresiones lógicas, en la cual se utiliza el operador "O"para evaluar si por lo menos una nota es >= 10, si esto se cumple entonces el resultado es Verdadero, mientras que ninguna de las expresiones es es >= 10 entonces el resultado seria Falso.


Haz un programa que pida al usuario 2 números y evalúe si ambos números son iguales.
El primer caso para crear nuestro programa es asignarle un nombre, en te caso sera: números_iguales.
Continuare definiendo las variables n1 y n2 de tipo real.

Para hacerlo más dinámico se le solicitara al usuario que introduzca ambos valores para luego hacer la comparación.

Finalmente, haremos uso del operador relaciona "Igual que (==), para comparar los dos valores introducidos por el usuario, los cuales estarán almacenados en nuestras variables n1 y n2.

Al ejecutar el programa, vemos que se nos solicita introducir un numero y luego otro, en este caso, puse 15 y 15 y se puede observar que nos muestra que la comparación es VERDADERA, ya que ambos números son iguales.

Mientras que en otro ejemplo, introduje el numero 20 y luego el 30 y nos indica que la comparación es FALSO ya que los números no son iguales.

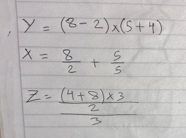
Transforma las siguientes expresiones matemáticas en expresiones aritméticas en tu computadora:
<a href=https://steemit.com/devwithseven/@alejos7ven/basic-programming-course-lesson-3-operations-esp-eng">LinkEvalúa si los resultados de las 3 operaciones son mayores o iguales que 0 (>=) y muéstrelo en pantalla.
En este programa llamado Expresiones Aritméticas comienzo por declarar las variables y1, x y z de tipo real.
Continué escribiendo la primera expresión la cual queda de la siguiente manera: y1 = ( 8-2 ) * ( 5+4 );
Las segunda expresión aritmética es la siguiente: x = ( 8/2 ) + ( 5/5 );
y la tercera expresión aritmética es: z = ((( 4+8 ) * 3) /2) / 3;
Es importante destacar el orden de agrupación de los numero y el uso de los paréntesis, para que se realicen de forma apropiada cada calculo. En este caso vemos que se establecen tres series de paréntesis para darle prioridad a cada operación. Primero la suma (4+8), luego la multiplicación de este resultado por 3 y este resultado se divide entre 2, luego este resultado es el que se divide entre 3.
Por lo que ya quedaron escritas y agrupadas de manera correcta, para que nuestro computador se encargue de hacer los cálculos correspondientes.
Luego, se coloca la instrucción para mostrar en pantalla el resultado de cada expresión aritmética.
Finalmente, procedí a utilizar el operadores lógico Y para establecer la relación entre los 3 resultados obtenidos y determinar si todos son mayores o igual que 0.
Ahora bien, para comprobar que la instrucción es correcta, he agregado una nueva variable a la cual le asigne el numero -5 y la he incluido entre las 3 expresiones para comparar si sus valores son mayores o iguales a cero.

Al ejecutar nuestro programa, vemos que uno de los 3 resultados tiene un valor menor a cero, por lo que nos muestra en pantalla que el resultado el FALSO.

De esta manera doy por finalizada mi participación en esta nueva lección, espero haber realizado de forma correcta cada una de las tareas propuestas.

Upvoted. Thank You for sending some of your rewards to @null. It will make Steem stronger.
Your post has been rewarded by the Seven Team.
Support partner witnesses
We are the hope!