[과학] 우주의 시작과 인플레이션 이론 // Beginning of the Universe
"도를 믿습니까?"
"시작이 있으면 끝이 있다고 믿습니까? "
오늘은 괴상망측하게 보일 수 있는 이야기를 해볼까 합니다. 바로 우주의 시작에 관련된 이야기입니다.
지난번 포스트에서는 끈이론의 문제점(?) 이야기를 했는데요 오늘은 우주론 이야기, 그 중에서 Eternal inflation과 우주의 시작에 대해서 이야기를 해 볼까 합니다. 우주론을 처음 공부하게 될 때 생각해 볼만한 좋은 주제로 저도 우주론을 처음 접할 때 받았던 주제입니다. 생각할 거리가 많은 문제죠 ㅎㅎ

[ 경제 용어에도 급속한 물가상승에 관한 이론으로 인플레이션 이론이 있지요 ㅎㅎ]
- inflation[급팽창]
이를 위해서는 먼저 inflation 이론에 대한 설명이 필요하죠.
흠 일반적으로 inflation 이론을 설명하려면 FRW 모델, 즉 초기 빅뱅이론-나무위키 의 문제점에 대해서 설명해야 합니다. FRW 모델에 대해서는 나중에 기회가 되면 다루도록 하고..[간략하게는 FRW 모델로 인해, Dust radiation vacuum 시대, 즉 초기 우주에 대한 설명들을 할 수 있게 되죠. 이 FRW 모델이 초기 정상우주론, Big Bang theory 입니다. FRW 모델의 메커니즘과 설명 등을 하다보면 이번 포스트와 많이 떨어지게 될테니 일단 인플레이션 이론이 어떻게 빅뱅이론의 문제점을 해결했는지 알아 보도록 하죠. 빅뱅이론 자체, FRW 모델 관련 포스트도 나중에 한번 기획 해 보도록 하겠습니다 ㅎㅎ ]
빅뱅이론의 문제점
빅뱅이론은 크게 다음과 같은 3가지 문제점이 있습니다.
- 1 . Flatness problem : 우주의 평평성, 우주공간의 밀도 Omega 값이 1
- 2 . Horizon problem : 우주의 온도와 밀도가 균일하게 분포되어 있는 문제 (Homogeneity!)
- 3 . Magnetic monopole problem : 모노폴의 존재에 대한 문제
먼저 Flatness problem 에 대해서 설명을 좀 더 해볼까요? 초기 우주가 말 그대로 flat, 평평 하다는 겁니다. flatness 를 측정하는 도구로 Omega 값이 있는데 이 Omega 값은 다음과 같이 정의됩니다
이 분모에 해당되는 항이 expansion rate 와 관련이 있습니다. 이 Omega 값이 1보다 크면 닫힌 우주가, 1이면 flat 이 1보다 작으면 열린우주가 됩니다.
참고로 이 Omega 값과 연관있는 물리량으로는 Dark Energy 가 있습니다. 여담으로 Dark energy 의 경우에는 우주상수와 expansion rate 와 연관이 있고, 즉 Repulsive gravity 에 연관된 물리량 입니다. 인플레이션과 연관되어 있죠
비슷한 용어인 Dark matter 의 경우 은하단의 형성과 CMB 의 fluctation 과 연관이 있습니다. 우주의 68 퍼센트는 Dark 에너지로 구성되어 있고 27 프로는 Dark matter 로 나머지 5프로가 우리가 아는 normal matter 들로 구성되어 있습니다. 이런 물질들에 대한 이론으로 대표적으로 MOND 이론이 있습니다.
[ 그림 링크 ]
Dark Matter 에 대해서 좀 더 이야기 해 보자면 Dark matter 는 순수히 실험적 결과로 인해 추론된 물질입니다. rotation of galaxy curve, 즉 은하의 회전 속도를 측정함으로써 사람들은 은하의 질량을 측정 할 수 있는데, 실제 관측한 [은하에서 나오는 빛으로 질량 추정 가능] 은하의 질량은 은하속도로 계산한 값보다 매우 컸죠. [대략적으로 눈에 보이는 모든 별과 성간 기체의 질량 보다 10배 정도 무거웠습니다.] 즉 빛과 상호작용을 하지 않고 중력만 가지는 그런 물질을 추정하게 되었고 이를 Dark Matter로 명명하게 된 것입니다.
그 다음으로 두번째 문제인 Horizon problem 에 대해서 다루어 볼까요? 카쿠의 책에 소개된 질문부터 시작해 보죠
" 밤하늘의 어느 쪽을 바라봐도 별들이 거의 균일하게 분포 되어 있는 이유는 무엇일까?"
이 질문의 핵심이 Horizon problem 과 관련이 있습니다. 좀 더 실험적 증거를 들어 볼까요? 바로 CMB (Cosmic Microwave Background) 입니다. 이 데이터를 통해 방향에 상관없이 우주가 거의 같은 온도를 띄고 있다는 것을 볼 수 있습니다.
안타깝게도 빅뱅이론은 왜 등방적으로 우주의 온도가 유사한지에 대해서 설명하지 못합니다. 우주의 끝과 끝이 온도가 같다니 이상하지 않습니까? 이 온도 대신 정보를 대체하여 끝과 끝, 경계와 경계가 어떻게 정보를 교환 할 수 있는가에 대한 문제가 바로 Horizon problem 입니다.
세번째로 Magnetic Monopole 문제에 대해서 알아볼까요.
Magnetic monopole 은 자석의 극이 하나만 있는 입자를 말합니다. 우주의 생성 과정에서 magnetic monopole 은 수없이 많이 발생하는데 magnetic monopole 은 현재까지 관측이 되고 있지 않죠. 이런 magnetic monopole 이 왜 발견되기 어려운가에 대해 빅뱅이론은 잘 설명하지 못하고 있습니다. GUT 이론에서는 Spontaenous symmetry breaking 과정 을 통해 magnetic monopole 생성 과정을 설명합니다. 미리 인플레이션의 답을 말하자면 Guth 는 Higgs Scalar field 를 도입하여 SSB 를 만드는 포텐셜 을 이용해 inflation 이론을 만들어 이를 해결합니다!
인플레이션
이런 빅뱅이론의 문제점은 인플레이션 이론을 통해, [우주가 급팽창을 했다는 이론] 설명할 수 있습니다.이 이론으로 유명한 사람은 구스와 린데를 꼽을 수 있습니다.
먼저 구스는 이전에 GUT 이론을 연구하던 입자물리학자였죠, 그는 1970~80년 당시 입자물리학에서 자주 썻던 개념인, spontaenous symmetry breaking 을 우주론에 적용하여 소위 "False vacuum " 을 도입하여 최초의 inflation 모형을 만들었습니다. 후에 린데는 초기 구스의 인플레이션 모델의 문제점[graceful exit problem 이라는 false vacuum 에 의한 tunneling 효과로 생기는 reheating 문제인데.. 복잡하죠? ㅋㅋ 수식 없이 말로만 설명하기가 힘들군요.. 결론은 이 처음에 해결점이라고 생각했던 tunneling 효과가 문제를 준 거였죠.. ] 을 해결하고 new inflation 이론이란 것을 성립합니다. 더 나아가 Linde 는 chaotic inflation, 소위 slow-roll parameter 들을 이용한 모델들을 개발하는 등 우주론에 지대한 영향을 끼칩니다.
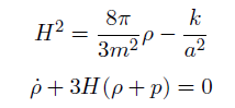
인플레이션 이론의 핵심 식을 한줄로 써보면 다음과 같습니다.
첫번째 식은 우주가 positive accelerated expansion를 한다는 것으로 repulsive gravity 를 기술합니다. 두번째 식은 Linde 가 기술한 식으로 comoving coordinates 에서 측정된 Hubble length 가 인플레이션 동안 감소한다는 것을 나타냅니다. 마지막 식은 FRW 모델에서 나왔죠.
인플레이션 이론은 위의 3가지 빅뱅이론의 문제점을 해결해 줍니다. 사실 저 위의 식의 조건은 Omega 가 1이라는 조건을 주어 자동적으로 1번 을 해결합니다. 그리고 자동적으로 2번 문제도 해결하죠. 초기의 등방성 성질을 가진 우주가 급속도의 팽창속에서 그 성질을 유지할 것이다 라는게 핵심입니다. 마지막의 모노폴 문제 역시 GUT 이론을 차용하여 적어도 한개의 모노폴이 발생 될 것이라고 설명합니다.
일단 구스의 방법에 대해서 한번 알아볼까요? 특별하게 perfect fluid 에서 scalar field를 다음과 같이

쓸 수 있습니다. FRW 모델에 의해 다음과 같은 식을 얻고

여기에 위의 값을 대입하면 [inflation 이 급격하게 일어난다는 가정하에서 k=0 값을 가집니다. ]
이것이 초기의 Guth 의 인플레이션 모델로 이 모델은 V(\phi) 포텐셜의 모양에 의존한다는 것을 알 수 있습니다.
일반적으로 위의 식을 푸는 방법은 slow roll parameter 를 이용하여 푸는 방법입니다.
- Eternal inflation
자 이제 eternal inflation 이론에 대해서 설명해 보려고 합니다. 성공적인 인플레이션 모델들은 expansion rate 이 decay rate 보다 항상 클 수 밖에 없습니다. 즉 이로써 한번 inflation 이 일어나면 멈추지 않게 됩니다. 이런 무한번의 인플레이션이 발생하는 것을 eternal inflation 이라고 합니다. 여기에서 Guth 의 말
Once inflation happens, it produce not just one universe, but an infinte number of univsere
을 발췌해 봅니다.
이런 inflation 과정 속에 생기는 우주들을 bubble universe 혹은 pocket universe 라고 부르기도 합니다.
[ 그림 참조]
- Landscape of String theory
끈이론에도 이런 비슷한 내용이 있습니다. 바로 Landscape theory 이죠.
끈이론에서 우주는 선호시 되는 vacuum 이 없습니다 다만 10^{1000} 의 meta-stable vacuum like states 만 있을 뿐이죠. 서스킨드는 이런 현상을 Landscape 로 묘사했죠.[들판에 누워 풍경을 보고 있다~ 이런 비유를 쓰더군요 ㅎㅎ] 즉 이런 식으로 끈 이론은 bubble universe 를 설명하곤 합니다. 엄밀하게 말하면 끈이론의 경우 positive cosmological constant 를 갖는 vacuum 이 매우 많다라는 겁니다.
String theory has no preferred vacuum state
Douglas 는 이를 "master vacuum" 을 이용해서 위 현상을 설명합니다. 놀라운 발견은 이 master vacuum 이 장수(?)하려면 그 vacuum 이 supersymmetry 를 가져야 한다는 것이죠. 좀 더 관심(?) 이 있으신 분, 관련 전공을 희망하는 분은 Douglas 의 논문 [ The string landscape and low energy supersymmetry ] 을 읽어보는 것을 권해 드립니다.
우주의 시작 논쟁
자 지금까지 "the universe can be eternal into the future" 란 것을 다루었습니다. 그렇다면 과거는 어떻게 될까요? 과거 또한 eternal 일까요?
자 이제 제가 하고 싶은 이야기를 할 수 있겠군요
핵심 내용은 Audrey Mithani, Alexander Vilenkin 와 susskind 의 싸움(?) 논쟁 이라고나 해야될까요 ㅎㅎ 우주의 시작을 두고 두 그룹은 다른 의견을 내놓습니다. Audrey Mithani, Alexander Vilenkin 그룹은 수학적인 theorem 을 이용하여 우주의 시작을 이야기하지만, Susskind 의 경우 물리적 상황을 근거로 [사고실험] 우주에는 시작이 없음을 주장하죠. 두 그룹 모두 나름의 논리가 있습니다. 하지만 결과는 정반대를 주장하죠
한번 그 분들의 논리를 따라가 보도록 할까요? 여기서 예전에 제가 썻던 글 논리파와 직관파 관련 글 이 연관됩니다. 사실 제가 저 글을 쓰게 된 이유가 바로 이 포스팅을 준비하다가 떠오른 거였습니다. ㅎㅎ Audrey Mithani, A.H.Guth, Alexander Vilenkin 의 관점은 수학적 조건들에 따라 구한 것이고 Susskind 의 경우 사고 실험, 직관을 통해 물리적 결과를 내놓습니다. 하지만 안타깝게도 두 답은 서로 정반대의 상황을 나타내죠.
- Audrey Mithani, A.H.Guth, Alexander Vilenkin 의 관점
해당 내용은 이 논문 Inflationary spacetimes are not past-complete
의 내용입니다.
ㅋㅋㅋㅋ 이 논문을 리뷰 한 적이 있어서 관련 증명과정을 따라 갈 까 하다가 이번 포스팅의 취지와 멀어져서 생략하고 결론만 정리해 보면
Null and time-like geodesics are in general, past incomplete regardless of energy condition. In other words, if H_{av} >0 holds along these past-directed geodesic, then regardless of energy condition the geodesic are past-incomplete.
이논문의 핵심 결과는 위의 내용과 같습니다. past-incomplete 라는 말은 past-eternal 하지 않는다는 말로써 시작이 있을 것이다를 말합니다.
우주론 전공 희망자를 위해 증명 관련 comment 를 좀 더 해보자면 이 논문은 잘 알려진 정리인 "The momentum of an object traveling on a geodesic an expanding universe is redshifted" 를 FRW metric 을 이용해서 affine parameter 에서의 H_{av}(Hubble parameter 의 평균값)을 구해 이 값이 어떤 특정 값보다 작다는 것을 보이면 됩니다.
좀 더 나아가 Audrey Mithani 와 Alexander Vilenkin Did the universe have a beginning? 는 논문에서 아예 결론을 지어버립니다. 논문의 한 구절을 첨부합니다.
이렇게 결론이 나는듯이 보였죠......
- Susskind 의 관점
위 논문이 arxiv 에 나오자 마자, Susskind 는 반론 논문들을 쓰기 시작합니다.
먼저 시작으로 Was There a Beginning?, 의문형 논문으로 시작하죠 ㅎㅎ
초록에서 부터 그의 스타일을 엿볼 수 있습니다. 이 논문에서 그는 특별한 수식 없는 사고실험을 통해 inflation 우주론에서는 시작이 없어야 한다를 보입니다.
앞과 마찬가지로 관련 전공 희망자를 위해 몇마디 적어보면 de sitter space 가 past-eternal 하다는 것으로 부터 cyclic universe 의 경우 열역학 제 2법칙으로 부터 인플레이션 우주론은 future eternal 일 뿐만 아니라 past-eternal 이어야 한다고 보입니다.
논문으로 한바탕 까대고 이 이후로 Vilenkin 과 Bousso[또 한명의 유명한 우주론/끈이론 학자], 서스킨드 이 세명이 모여서 한바탕 토론을 했나 봅니다. e-mail 도 주고받고 학회(?) 에서 만나 토론을 한 모양입니다. 바로 5월달에 susskind 는 또 한편의 논문 (Is Eternal Inflation Past-Eternal? And What if It Is?)을 arxiv 에 올립니다.
이 논문에서 여러가지 견해를 보이고 결론은 앞의 master vacuum 이야기로....
아무튼 우주의 시작에 관한 문제는 우주론을 공부할 때 한번쯤 진지하게 생각해 봐야 할 주제입니다. ㅎㅎ
마지막으로 이런 인플레이션 이론과 우주론 이야기를 담은 대중 과학서를 몇 권을 소개하고 마무리를 하려고 합니다.
먼저 서스킨드의 '우주의 풍경' 이라는 책입니다.
인플레이션 우주론에 대한 설명과 인류원리 그리고 Susskind 가 명명하기도 한 String Landscape 이론을 풀어서 설명한 책입니다.
그리고 카쿠의 '평행 우주' 책도 있죠.
비교적 최근 책으로 '맥스 테그마크의 유니버스' 책도 있습니다. 요즘 제가 한참 읽고 있는 책이죠 [Thanks to Steemit!]
추가로 Alan Guth 의 MIT opencourse 가 있군요. 학부생을 대상으로 한 강의입니다. 처음 두 강의는 전반적인 빅뱅이론과 인플레이션 이론에 대한 내용을 다루는데 충분히 일반인들도 따라갈 수 있는 내용이라고 봅니다.
이번 제 포스팅은 강의1,2 와 강의 21, 22, 23 의 내용을 담고 있습니다. [인플레이션 이론과 big-bang 이론의 문제점, false vaccum과 new inflationary model(이건 그냥 언급만 하고 넘어가는군요) ] 안타깝게도 eternal inflation 이나 past-eternal 관련 내용은 다루지 않았습니다.
시간이 없다면 처음 강의에 대한 슬라이드 lecture-1 lecture-2 만 보셔도 무방할 것 같습니다. 전체 강의 노트들을 여기 에서 받아 볼 수 있습니다.
이런 대가들의 강의들이 조금 더 인터넷에 공개되면 참 좋을텐데 ㅎㅎ 너무 욕심일까요 ㅎㅎ
ㅎㅎ 지금까지 내용을 잘 따라오셨는지 모르겠네요? 인플레이션 우주론과 우주의 시작에 대해서 다루어 봤습니다. 여러분은 어떻게 생각하나요? 우주의 시작이 있을까요?
어떻게 보면 종교적 관점과도 유사할지도 모르겠네요. 윤회와 창조로 비유 할 수 있으려나요 ㅎㅎ
Sponsored ( Powered by dclick )
연남동 플라워카페 VERS 벌스
안녕하세요! 신농입니다 :) 연남동 데이트 팟캐스트에서 소개했던 플라워카페 VERS 벌스를 자...

이 글은 스팀 기반 광고 플랫폼
dclick 에 의해 작성 되었습니다.
















재밌게 읽었어요 ㅋㅋ 이제 자야겠네요
This deserves some attention. Upvoted and resteemed :)
Interesting, good post. (Y)
미치오카쿠 평행우주 정독하다가 포기한 기억이 떠오르네요 ㅋㅋㅋㅋ
언제 한번 영화 인터스텔라에 대한 과학적 견지에서의 평론을 써 보시죠? ㅎㅎ
인터스텔라 같은 경우에는 @hunhani 님의 물리학도가 들려주는 인터스텔라를 더 재밌게 보기 위한 18가지 이야기 이 이미 있지요 ㅎㅎ 거기다가 이미 킵손 교수님의 "인터스텔라의 과학" 책이 있어서요 ㅎㅎ
웜홀 관련해서는 아직 깊게 공부한 적이 없어서 공부해서 남에게 설명할 정도가 되면 한번 관련 내용을 써보도록 할게요 ㅎㅎ
@beoped 님 소개 감사합니다 ㅎㅎ
와 대문사진에 빅뱅이론이 떠서 제가 좋아하는 미드이야기 인가?? 하고 들어왓더니!! ...한번 쭈욱 볼려햿는데 구스 방법부터 너무 어렵군요 ㅜㅜ 엄청난 전문지식이십니다!!
아 ㅋㅋㅋ 저도 빅뱅이론의 광팬입니다 ㅎㅎ 시즌10까지 정말 몇번이나 달렸는지 모르겠네요 ㅎㅎ
수식은 가볍게 넘어가셔도 됩니다 ㅎㅎ 관련 이론은 혹시나 전공자나 궁금한 사람들을 위해 담아둔 거고 핵심은 우주의 시작에 대해서 이런저런 견해들이 있다란 것을 소개하고 싶었습니다 ㅎㅎ
안녕하세요 Oldstorn님의 리스팀으로 방문을 하게되었습니다.
아우 너무 어려운 과확의 나라입니다 ㅎㅎ 팔로우 하고 차차 배워나가도록 해 보겠습니다. 감사합니다.
@oldstone 님께서 리스팀을 해주셨다니 ~~ 먼저 댓글로 감사를 표합니다 ㅎㅎ
제 글의 경우 저의 실력이 많이 부족해서 아주 쉽게 글을 쓰지는 못하고 있습니다. 그래도 혹시나 인터넷 검색을 통해 한글로 된 세부적인 관련 정보를 얻고 싶은 사람을 위해서 기록을 남기고 있습니다
주로 수식 관련 계산 글들이나 가끔 이런 대중적인 주제들에 대해서 글을 작성하고 있긴 합니다만, 이런 주제들에도 수식들이 종종 나옵니다 ㅎㅎ 이런 내용들은 과감하게 pass 하셔도 무방합니다 ㅎㅎ 이런 글들을 통해 이런 문제들에 대해서 이런 이런 생각들이 있구나, 이런 이론들이 있구나 등 등 이런 생각들을 한번이라도 하게 된다면 저는 만족합니다 ㅎㅎ
아 네 ㅎㅎ 사실 어려운 글들이 많기는 합니다. 잘 모르는 분야지만
한번씩 보면서 조금씩 이해하다보면 좀 더 낳지 않을까 싶네요.
조금씩 배워가면서 스팀잇 하는것도 즐거움 입니다. 감사합니다^^
재미있게 읽었습니다 @beoped님. 우주론.. ㅎㅎ 물리랑 친하진 않지만 공부해보고 싶은 분야기는 한데 어설프게 알고 공부하면 유사과학이 되어버릴 것 같아서 도전할 아직은 용기가 안나네요 :(
다음 글들도 기다리고 있겠습니다!
오 너무 좋아하는 분야입니다! 혹시 이쪽 분야의 전문가분이신가요ㅎㅎ 대단하십니다. 저는 이론만 파고들었지 깊은 수식까지는 도저히 안되겠더군요ㅠㅠ