Deriving of Binomial expansion formula for two variables (a+b)^n
I explained how binomial expansion formula was derived in my last post, in case you missed it click on the link below to in to read first because this tutorial is the continuation of the previous tutorial.
Easy method to derive binomial expansion formula
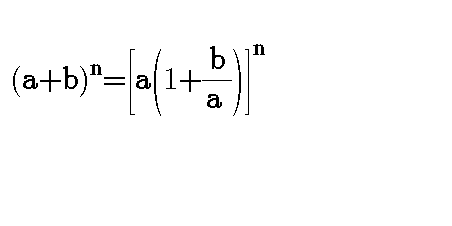
The formula that was derived in the previous tutorial is for a single variable since anything raises to power 1 is equals to 1. This can't work for a two variable like (2+x)^n, (a+b)^n etc, because 2 and a will change as the power increases or decreases.
Now, let's derive the formula for the two variables using (a+ b)^n

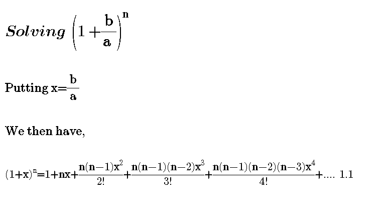
By simplifying further,


From the knowledge of Combination that was discussed in my previous tutorial, Equation 1.1 can be rewritten as,

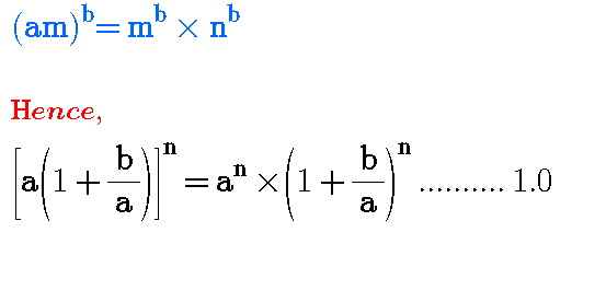
Substituting equation 1.4 in equation 1.0,

By opening the bracket in LHS(Left Hand Side) and RHS(Right Hand Side), then we have,

After applying the indices law, we now arrive at,
This is how the formula was derived, in my next tutorial, some questions will be posted on binomial expansion which will be solved so that you can know the advantages of the formula.
References For Further Reading
Quora- Binomial expansion
Proof of binomial expansion
You can also read my previous tutorials:
Easy method to derive binomial expansion formula
Tutorial on Combination
Explanation on why 0!=1
Nice derivation of the Binomial Formula. I love the way you expressed (a+b)^b in the form [a(1+b/a)]^n....This is very impressive. Nice workings and proof 😁🙌.
Thanks for sharing this 💗
Your post has been upvoted by the @steemiansarena trail. Our goal is to support minnows and help them grow. You can join our discord server here Whastapp here.. You can also support us by either contributing steem or delegating SP to us
Congratulations! This post has been upvoted from the communal account, @minnowsupport, by Hayzeed from the Minnow Support Project. It's a witness project run by aggroed, ausbitbank, teamsteem, theprophet0, someguy123, neoxian, followbtcnews, and netuoso. The goal is to help Steemit grow by supporting Minnows. Please find us at the Peace, Abundance, and Liberty Network (PALnet) Discord Channel. It's a completely public and open space to all members of the Steemit community who voluntarily choose to be there.
If you would like to delegate to the Minnow Support Project you can do so by clicking on the following links: 50SP, 100SP, 250SP, 500SP, 1000SP, 5000SP.
Be sure to leave at least 50SP undelegated on your account.