SOBRE FÍSICA. La Gravedad y el Péndulo.
Que tal amantes de la ciencia y de #stem-espanol.
He decidido introducir una sección en las que les hablaré “SOBRE FÍSICA” para #stem-fisica. En este primer tema propuesto, les presentaré el problema del péndulo libre para el cálculo experimental del valor de la constante universal de la aceleración de la gravedad terrestre a nivel del mar.

Figura 1. El péndulo simple. Fuente propia, @djredimi2.
SOBRE FÍSICA.
Sabemos que la ciencia abarca el estudio de las materias vivientes y las no vivientes, mejor conocidas como las ciencias de la vida y las ciencias físicas. Entre las ciencias de la vida podemos nombrar a la biología, la zoología y a la botánica. Por otro lado, entre las ciencias físicas tenemos a la geología, la astronomía, la química y a la física.
Sin embargo, la física es mucho más que una parte de las ciencias físicas. “Es la ciencia más fundamental”. Es el estudio de los fenómenos que ocurren en la naturaleza como: el movimiento, las fuerzas, la energía, la materia, el calor, el sonido, la luz y el interior de los átomos. Por su parte, la química explica cómo se acomoda la materia entre sí, cómo se combinan los átomos para formar moléculas y cómo se combinan las moléculas para formar los materiales que nos rodean. Por último, la biología es más compleja, y se ocupa de la materia que es está viva. Por lo anterior, la química es la base de la biología, y en la base de la química está la física. Esto demuestra el por qué los conceptos de la física llegan hasta estas ciencias y es la razón por la que la física es la ciencia más fundamental.
PARA EL LECTOR.
Bien sabes que todos los juegos están sujetos a un reglamento, que a su vez, es imprescindible para su comprensión. Por ejemplo, el futbol profesional se rige del reglamento de la FIFA. Del mismo modo, no puedes comprender el entorno que te rodea, sino hasta que comprendas las reglas de la naturaleza. La física es el estudio de estas reglas. Ella te enseña la belleza en que se relaciona todo en la naturaleza. Entonces, la razón principal por la que se estudia física es para ampliar la forma en que se observa el mundo exterior.
La física se presenta mediante expresiones matemáticas, pero más que recetas de cálculo, estas ecuaciones son como guías para la comprensión de los fenómenos físicos.
1. INTRODUCCIÓN.

El gran físico Sir. Isaac Newton no fue quien descubrió a la gravedad. Aunque se desconoce quién descubrió tal fenómeno. Se sabe que se desarrollaron algunas investigaciones en el campo de la física que provocaron una serie de preguntas. ¿Por qué la Luna no cae hacia la Tierra? ¿Por que los planetas se mueven? ¿ Y por que la Tierra siempre está en órbita alrededor del Sol?.
Sin embargo, fue nuestro gran físico Newton quien diera respuesta a estas preguntas. Fue en 1687 cuando publicó en su libro "Philosophiae Naturalis Principia Mathematica", el desarrollo de la famosa Ley de Gravitación Universal que interpreta la interacción gravitatoria existente entre dos cuerpos masivos. Propuso además, que la aceleración que sufre un cuerpo debido a la fuerza de la gravedad ejercida por otro de masa
es igual a:

donde,
es la aceleración sufrida,
es la constante de gravitación universal y
es la distancia de separación entre los dos cuerpos. Cuando medimos la aceleración de gravedad terrestre la distancia que separa a las masas se considera como una altura
.
Es gracias a esto que la medida de la gravedad es de vital importancia para las aplicaciones en ciencias aplicadas como la mecánica clásica, geofísica, astrofísica, relatividad, entre otras.
2. MEDICIÓN DE LA GRAVEDAD.
Según la ecuación (1), la medida de la gravedad terrestre varía con respecto a su componente vertical (la altura). Estas variaciones son debidas a una distribución irregular en profundidad de masas de diferentes densidades. El método encargado de medir estas variaciones se le conoce como Gravimetría. Es gracias a estos cálculos que, por ejemplo, en geofísica se puede llegar a una interpretación más o menos probable de la situación de las masas en el subsuelo.
Los aparatos comúnmente empleados para gravimetría son: La balanza de torsión, el péndulo y el gravímetro. La balanza de torsión, al igual que gravímetro, mide la gravedad relativa y con la ayuda del péndulo se puede obtener la gravedad absoluta. En este post explicaremos como se obtiene la medida de la gravedad terrestre absoluta, mediante el uso del péndulo simple.
La gravedad absoluta es el valor de la gravedad en un punto de la componente vertical del campo gravífico terrestre. La gravedad relativa, por otro lado, es la diferencia de gravedad entre dos puntos.
El Péndulo Simple.
El péndulo simple es un sistema ideal compuesto por un masa m suspendida en un punto O por una cuerda inextensible de longitud l y masa despreciable (figura 1). Se puede también considerar como un oscilador lineal a amplitudes pequeñas.
Si la masa del péndulo se desplaza a una posición theta con respecto al eje vertical y luego se deja caer, este comenzará a oscilar siguiendo una trayectoria circular en forma de arco. Las ecuaciones que describen el movimiento de la masa del péndulo simple en la dirección tangencial a la trayectoria, están descritas sólo por la componente x de la fuerza producida por el peso. En este caso la componente x de la fuerza de tensión del hilo es nula. De esta manera la segunda ley de Newton se escribe en función de la aceleración tangencial
como:

Donde la aceleración tangencial en función de la aceleración angular y la componente x del peso se escriben como:

Por lo que, resolviendo la ecuación (3) nos queda,

La solución a esta ecuación diferencial es bastante compleja, sin embargo para nuestro experimento se pueden considerar oscilaciones de pequeñas amplitudes, esto significa ángulos pequeños.
En términos de radianes, ángulos pequeños significa valores menores a 1 radian. En términos de grados sexagesimales, pequeños valores significa valores menores a 50° aproximadamente.
Cuando
es pequeño entonces,
. Y la ecuación diferencial que describe las oscilaciones del péndulo se reescribe como:

Donde comparando con la ecuación diferencial
, donde la solución es
. De esta manera la solución a la ecuación (4) es:

Y,

En términos de velocidad angular, el período esta determinado por
. Y el período de oscilación del péndulo simple es,

3. MARCO METODOLÓGICO.
El montaje experimental es el mostrado en la figura. Este consta de: un soporte, hilo, un cronómetro, una regla geométrica, un transportador geométrico y una metra (canica) grande tipo bolón de masa específica. El soporte fue diseñado en casa empleando una base de madera pesada, una vara vertical de 30 cm de largo y otra vara horizontal de 16 cm de largo.

Figura 2. Instrumentos empleados en el Montaje experimental. Fuente propia, @djredimi2.
La metodología experimental para la determinación de la constante universal de la aceleración de gravedad terrestre fue:
(a) Ajustamos el hilo con la metra y procedemos a establecer la longitud del hilo L en 20 cm. Asegurar el movimiento pendular correcto sin que se desajuste ni se rompa el hilo.
(b) Ajustando el ángulo del péndulo θ=35° y con el cronómetro en cero, ponemos en marcha el movimiento pendular y simultáneamente procedemos a la toma del tiempo experimental hasta que el péndulo alcance las tres oscilaciones (N=3).
(c) El proceso descrito en (a) y (b) se realizó cuatro veces para obtener un tiempo promedio.
(d) En este punto se repite los procedimientos de (a), (b), (c) y (d), cambiando la longitud del hilo a 17, 14, 11, 8 y 5 cm.
(e) Para el análisis de datos: primero convertimos los seis valores del tiempo promedio en valores de Período mediante la ecuación (1) para tres oscilaciones.
(f) Finalmente, realizamos la curva correspondiente del período
en función de la raíz cuadrada de la longitud
, mediante la plataforma del software OriginLab 6.
A esta curva resultante de (f) le realizamos un ajuste lineal
, donde
es la pendiente de la curva y
es el corte con el eje x. Comparando esto con la ecuación (5a) encontramos que
y

donde, finalmente la aceleración de la gravedad terrestre se calcula por:

4. RESULTADOS Y CONCLUSIONES.
Los resultados obtenidos para los cuatros tiempos en que el péndulo se tardó en alcanzar las tres oscilaciones, y en función de la longitud de la cuerda del péndulo, son mostrados en la tabla 1. Así mismo, se incluye el valor promedio del tiempo para cada longitud de la cuerda. Se debe destacar que el error de precisión de la medida para el tiempo es de ±0,01.

Por otro lado, la figura muestra la gráfica experimental para longitud de la cuerda en unidades de metros y el período del péndulo simple según la ecuación (5b). Así mismo, muestra una tabla de los valores de la raíz cuadrada de la longitud de la cuerda del péndulo para cumplir con la ecuación .

Figura 3. Ajuste experimental del Período de oscilación del péndulo simple en función de la raíz cuadrada de la longitud de la cuerda (puntos azules). Y el ajuste lineal Y= b+mX (curva roja). Fuente propia, @djredimi2.
Del ajuste lineal mostrado en la figura anterior comprobamos que el valor del corte con el eje x tiende a cero, es decir
. Empleando la ecuación y el valor de la pendiente de la curva, tenemos

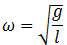
Para expresar la medida del error absoluto del valor experimental obtenido se procede al uso del cálculo de errores a través de medidas indirectas, y como sólo tenemos una magnitud (es decir
) en la ecuación principal nos queda que,

De esta manera
. Por lo que el error relativo porcentual es,

Finalmente, para la desviación estándar de la medida experimental empleamos el valor teórico para la aceleración de la gravedad terrestre a nivel del mar
, es decir,

Conclusiones Finales.
De esta manera podemos concluir exitosamente que fue encontrado el valor universal de la aceleración de gravedad terrestre a nivel del mar. Donde, la desviación estándar nos indica que el valor experimental tiene una exactitud del 1% con respecto al valor real.
Sin embargo, el error relativo porcentual nos indica que la precisión de la medida experimental varía un 10% con respecto a los datos experimentales. Esta alta precisión de debe a errores aleatorios, posiblemente, debidos al paralaje de la medida del ángulo del péndulo y la longitud de la cuerda. Así como también, por el tiempo reacción del observador para la obtención del valor del tiempo experimental. Para reducir esta precisión se recomienda a los próximos físicos, que repliquen este experimento, sistematizar la obtención del tiempo experimental. Así como también, adjuntar una regla y un transportador geométrico al soporte del péndulo.
MUCHAS GRACIAS querida comunidad de STEEM.
REFERENCIAS VISITADAS.
- Sears, Zemansky (2008). “Física Universitaria”. Volumen I. Decimosegunda edición.
- Jerry B. Marion (1998). “Dinámica de un sistema de partículas”. 2da edición.

En #stem-espanol, el grupo día a día trabaja arduamente por avanzar en el servicio y el apoyo a la comunidad de Steem que publica sobre Ciencia, Tecnología, Ingeniería y Matematicas (STEM) en nuestro idioma español. Es por eso, que se han abiertos "sub-grupos" de #stem-espanol relacionados a temas específicos de STEM. Resultando en el nacimiento de FÍSICA en #stem-espanol (imagen previa).

Si estas interesado en publicar contenido de Física, te invito cordialmente a unirte al sub-grupo #fisica del chat de stem-espanol, registrandote en discordapp.com y accediendo a este enlace. Por último, puedes postear publicando bajo la 3era etiqueta #stem-fisica. La 1era y la 2da etiqueta deben ser #stem-espanol y #steemstem respectivamente.

¡Felicitaciones!
Apoya al trail de entropía y así podrás ganar recompensas de curación de forma automática, entra aquí para más información sobre nuestro TRAIL.
Puedes consultar el reporte diario de curación visitando @entropia
Atentamente
El equipo de curación del PROYECTO ENTROPÍA
Gracias por la invitacón @entropia
Muy interesante, como estudiante de Ingeniería veo la física como una herramienta aplicable para establecer una base teórica y modelar un problema para entenderlo mejor y buscar mejores soluciones, pero a veces olvido lo interesante y grande que es la Física, ya que es un universo en sí misma. Por cierto si no los ha consultado ya, le recomiendo los libros de Física de Serway, aprendí mucho de ellos en mis inicios como estudiante. Saludos.
Excelente amigo @acont definitivamente la física tiene como enamorarnos. La ingeniería es un ejemplo vivo de las multiples aplicaciones que encontramos gracias a la física.
This post has been voted on by the steemstem curation team and voting trail.
There is more to SteemSTEM than just writing posts, check here for some more tips on being a community member. You can also join our discord here to get to know the rest of the community!
Very Thanks you @steemstem
Buen post estimado @Djredimi2, un experimento que convalida la teoría. La física es ciertamente una ciencia fundamental, aunque sobre si es la más fundamental o no es muy discutible, porque recordemos que muchos aseguran que la matemática, en tanto ciencia formal y base de la física, es todavía más fundamental! Jejeje
;-)
Saludos.
Excelente comentario mi estimado @eniolw. Jejeje definitivamente siempre nos desviaremos a lo que mas amamos. Nos estamos viendo en el chat.
Congratulations @djredimi2! You have completed the following achievement on Steemit and have been rewarded with new badge(s) :
Click on the badge to view your Board of Honor.
If you no longer want to receive notifications, reply to this comment with the word
STOPThanks you
This post has been voted on by the steemstem curation team and voting trail.
There is more to SteemSTEM than just writing posts, check here for some more tips on being a community member. You can also join our discord here to get to know the rest of the community!
Hi @djredimi2!
Your post was upvoted by utopian.io in cooperation with steemstem - supporting knowledge, innovation and technological advancement on the Steem Blockchain.
Contribute to Open Source with utopian.io
Learn how to contribute on our website and join the new open source economy.
Want to chat? Join the Utopian Community on Discord https://discord.gg/h52nFrV
Very Thanks you @utopian-io. You are great.
Excelente post sobre el Péndulo Simple @djredmi2.
¡Felicitaciones!
Saludos.
Saludos mi estimado profesor @tsoldovieri. Gracias por su comentario.
Geniaaal. Muy bueno como presentas todo, un experimento con materiales sencillos para un conocimiento fundamental como lo es conocer el valor universal de la gravedad. Saludos
Saludos estimado @fran.frey gracias por tu comentario