Análisis Matemático del decrecimiento del poder de voto en Steemit - ¿Por qué votar 11 veces al día?
El poder de voto es uno de los conceptos más importantes en Steemit, entender su funcionamiento permitirá obtener mejores resultados en esta red social basada en contribuciones, tanto en la autoría de artículos como en la curación de contenidos.
El poder de voto en Steemit es la capacidad que tiene cada usuario para que su voto sea efectivo al generar recompensas y curar contenidos, según el libro blanco de Steemit “Una mayor parte de minimizar el abuso es limitar la tasa de voto. Los usuarios individuales solo pueden leer y evaluar tantos ítems de trabajo diarios. Cualquier intento de votar más frecuentemente que esto es una señal de automatización y potencial abuso”, para evitar la automatización del voto existe el poder de voto el cual se mide porcentualmente y puede ir de 0% hasta 100%, para consultar el poder de voto se recomienda usar el siguiente enlace:
Cambiando @ydavgonzalez por el nombre de usuario se puede consultar una gran cantidad de estadísticas sobre las cuentas de Steemit incluido el poder del voto

Imagen N° 1 – Poder del voto mostrado en https://steemd.com/@ydavgonzalez
En relación al funcionamiento del poder de voto, al momento de votar la recompensa se calcula en base a la efectividad del voto la cual corresponde al Steem Power multiplicado por el poder del voto, debido a esto si un usuario tiene 100 SP pero solo 50% de poder voto su voto tendrá la misma efectividad que el voto de un usuario con 50 SP y 100% de poder de voto.
Los usuarios con cierta cantidad de Steem Power pueden fraccionar su voto, es decir, votar con un peso de voto equivalente a una fracción de su Steem Power total. El poder de votación gastado por un usuario que vota usando un peso de voto de 100%, se calcula mediante la siguiente fórmula:
Por lo tanto luego que el usuario ha realizado un voto su nuevo poder de votación se calcula con la siguiente fórmula
Con esta expresión se puede calcular el nuevo poder de voto tras haber votado una vez. Para simplificar los cálculos se omitirá el símbolo % y se sustituirá k=0,98 y t=0,0098, obteniendo
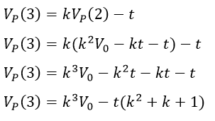
Si vota 2 veces de forma seguida se cumple
Si vota 3 veces
Generalizando si vota n veces
Esta es la fórmula para calcular el poder de voto restante después de haber votado n veces, la fórmula anterior puede simplificarse teniendo en cuenta que la serie
Puede expresarse también como
La cual es una progresión geométrica de n términos donde
La fórmula para calcular la sumatoria de los términos de una progresión geométrica es la siguiente
Aplicada a la serie anterior se obtiene
Al sustituir este resultado en la fórmula para calcular el poder de voto se obtiene
En resumen

Fórmula para calcular el poder de voto restante luego de haber votado n veces --- Fuente: Elaboración propia
Recordando que k=0,98 y t=0,0098 se sustituye
Por ejemplo si un usuario inicia con un poder de votación de 100% y vota 20 veces su poder de votación se reduce a
Gráficamente el decrecimiento del poder de voto se puede apreciar en la siguiente imagen

Decrecimiento del poder de voto --- Fuente: Elaboración propia
Ahora recordando que el poder de votación se regenera un 20% diario de forma lineal y continua, se puede establecer una relación que permita encontrar un punto de equilibrio en el cual un usuario con un poder de voto inicial V0 vote n veces (en un corto periodo de tiempo) y luego de 24 horas su poder se regenere nuevamente hasta V0, es decir, un punto donde un usuario pueda votar todos los días la misma cantidad de veces y mantener su poder de voto inicial constante, para que esto se cumpla el poder de voto luego de votar n veces debe ser igual al poder de voto inicial menos 20 lo cual se expresa como:
Sustituyendo
Sustituyendo k=0,98 y t=0,0098
Reordenando:

Fórmula para obtener el punto de equilibrio V0 luego de haber votado n veces --- Fuente: Elaboración propia
Con esta fórmula se puede encontrar el poder de votación inicial V0 que se tendría si se vota n veces todos los días, para distintos valores de n se obtiene

Tabla N° 1 Punto de equilibrio entre n y V0 --- Fuente: Elaboración propia
En base a los resultados mostrados en la tabla anterior se concluye que votando 11 veces al día el poder de votación se mantiene en 99,88%, es decir, casi 100%, para n=10 se obtiene un V0 de 108,84% pero se debe recordar que el poder de votación no puede ser mayor a 100%, es decir, si un usuario vota 10 veces o menos diariamente su poder de votación tenderá siempre a 100%. De igual forma, un usuario que vote 20 veces todos los días verá como su punto de equilibrio tiende a un valor de 59,68% razón por la cual perderá efectividad al momento de realizar curaciones.
En conclusión se debe tener en cuenta el poder de voto y la cantidad de veces que se vota diariamente con el fin de elaborar una estrategia de curación apropiada que permita obtener buenos resultados en el tiempo.


















This is a test comment, notify @kryzsec on discord if there are any errors please.
Siendo un SteemStem Estados
Hola. Este si lo entendi. Quiere decir que a pesar de mi categoría debo de votar diez veces diarias y asi garantizo subir?. Pleace respuesta.
Votar 11 veces sería lo óptimo, publicar y comentar recuerda que para subir la reputación necesitas que te voten a ti.
Creo que lo optimo para mantener el poder en 100% es votar cada 2 horas y ya pero, a quien beneficia eso?
STEEMIT se trata de hacer comunidad no de sacar el mayor provecho de tu VOTO
Muy interesante lo expuesto, aunque yo siempre me pierdo con las fórmulas matemáticas.
Gracias, es cuestión de leer el artículo con detenimiento.
muy buen aporte!! entendí a la perfección!! :). me recordaste a mis días de analisis matemático II, donde vi Series!! ahora comprendo matemáticamente el por que recomiendan que votemos 10 veces al día para mantener el poder de voto al 100%!
Hola, gracias por el apoyo, que bueno que pudieras enlazar el artículo con tus conocimientos previos.
Muy buen artículo. Te felicito y me alegra que poco a poco se valore tu trabajo.
Para profundizar un poco más sería bueno analizar que se debería votar estos 11 espaciándolos!. Ya que si los hago muy seguidos entonces el ultimo de ellos tendrá menos efectividad ya que no habré dado tiempo a la regeneración.
Supongamos tengo 100% y doy un voto completo. Mi poder de voto quedará en 98.00% (los demás decimales se pierden). Ese 2% perdido se regenera en 2.4 horas. Por tanto en ese tiempo tendré de nuevo 100%.
En conclusión la máxima efectividad se logra votando 10 veces al día espaciándolos 2.4 horas. Pero esta exactitud es difícil de lograr y puede que regeneres al 100% y no lo uses, así que es bueno usar un poco más no sea que desperdicies, por tanto mejor 11 votos para ir a lo seguro.
Excelente post, me ha encantado el análisis.
Excelente tu aporte, gracias por el apoyo, es bastante difícil para un ser humano votar 10 veces cada 2.4 horas, por eso en general y para los que nos conectamos una sola vez al día mejor votar 11 veces.
Así mismo es ;)
Un saludo
Justo la información que estaba buscando muy bien explicado gracias
Gracias por el apoyo.
hermano eres un duro! muy buena información
Gracias.
Excelente aporte, sobre todo para quienes no manejamos mucho los números de manera apropiada, la explicación es bastante detallada. Me gustaría saber un poco más sobre la ventaja de comentar los post o repostear.
Gracias @sofiahv, la ventaja de comentar está en que promovemos el debate con los demás usuarios, y en cuanto al reesteem tiene un gran poder debido a que las personas que nos siguen podrán ver la publicación en su canal, es una forma de llegar a mas usuarios y por decirlo de alguna manera de revivir las publicaciones que ya están quedando en el olvido ocultas por las nuevas publicaciones.
Cómo es eso de votar por los testigos? A qué se refiere? Qué beneficios nos aporta?
As a follower of @followforupvotes this post has been randomly selected and upvoted! Enjoy your upvote and have a great day!
Excelente post... estaba buscando una información como está... me aclaro muchas dudas que tenía... gracias
Gracias por el apoyo, éxito.
El artículo que llevo buscando varios días.
El siguiente paso es: ¿Cual es el número de votos óptimo, teniendo como objetivo aplanar el canal de regresión de las curaciones obtenidas? Porque quizás sea interesante perder poder de voto, ganando en votar más post con alto potencial de curaciónm reduciendo la varianza de los resultados medios esperados. ¿Qué opinas?
Estoy desarrollando otro artículo sobre este punto, donde demostraré la cantidad óptima de post a votar y el efecto de votar más veces ganando más oportunidades a costa de perder poder de voto, en unos días lo publicaré en lo que termine de revisar los cálculos.
Actualización
Aquí esta el nuevo post donde abordo ese punto:
https://steemit.com/stem-espanol/@ydavgonzalez/demostracion-matematica-del-numero-de-votos-diarios-que-maximizan-las-recompensas-de-curacion-asumiendo-los-demas-factores