Explicación de las fórmulas que rigen el Movimiento Rectilíneo Uniformemente Acelerado y su proceso de deducción
El universo tal como el ser humano lo conoce se basa en diversas leyes físicas, estas leyes frecuentemente se expresan usando el lenguaje matemático con el cual se puede modelar con precisión los fenómenos que ocurren en el universo, uno de estos fenómenos que suelen ser estudiados es el movimiento, el estudio del movimiento es uno de los temas centrales de la física. La rama de la física que se centra en el estudio del movimiento de los objetos es la mecánica, según Resnick, Halliday y Krane (1993), la mecánica se define como:
“El estudio del movimiento de los objetos. El cálculo de la trayectoria de una bola de béisbol o de una sonda espacial enviada a Marte figuran entre los problemas de los que se ocupa, así como el análisis de la trayectoria de las partículas elementales que se forman en las colisiones en nuestros grandes aceleradores. Cuando describimos el movimiento, estamos tratando la parte de la mecánica llamada cinemática.”
El movimiento de una partícula puede describirse mediante ecuaciones matemáticas precisas dependiendo del caso que se trate, por ejemplo para el movimiento unidimensional existen diversas fórmulas que lo estudian, cuando el movimiento se produce a una velocidad constante la distancia recorrida por la partícula en el tiempo viene dada por la siguiente expresión:
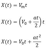
En base a estas fórmulas se pueden desarrollar las otras expresiones que describen el movimiento rectilíneo uniformemente acelerado, por ejemplo teniendo en cuenta que V0 es la velocidad inicial y Vf es la velocidad final de la partícula debe existir una velocidad promedio de la partícula (Vm) durante todo el recorrido que realiza, debido a que la aceleración es constante esta velocidad promedio viene dada por
Teniendo en cuenta esta velocidad promedio y que la aceleración es constante se puede concluir que la distancia que recorre la partícula es igual al producto de la velocidad promedio por el tiempo que dura el recorrido
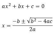
La expresión anterior es la fórmula que permite calcular la distancia en función de la velocidad inicial, la aceleración y el tiempo, ahora surge la pregunta ¿Cómo calcular el tiempo que tarda una partícula en recorrer cierta distancia con una velocidad inicial y aceleración dadas?, básicamente se trata de despejar el tiempo(t) en la fórmula anterior
La cual es una ecuación de segundo grado cuya incógnita es el tiempo, aplicando la fórmula de resolución de la ecuación general de segundo grado
Se obtiene
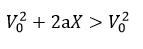
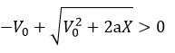
Esta función permite calcular el tiempo en que la partícula recorre la distancia X, se demuestra fácilmente que asumiendo una distancia X positiva y una aceleración positiva (la partícula está acelerando) la expresión anterior siempre tiene una solución positiva y válida.
Para valores positivos de la distancia, velocidad inicial y aceleración se cumple que
Debido a esto las raíces cuadradas positivas mantienen la misma relación
Es decir
Por ser la aceleración(a) positiva se cumple que
Es decir
Con lo cual se demuestra la existencia de un valor de tiempo válido lo que concuerda con el hecho de que una partícula que está acelerando constantemente debe alcanzar una distancia X en algún instante de tiempo.
Ejemplo
Un automóvil recorre una carretera horizontal de 1 Km de largo con una velocidad inicial de 10 m/s y una aceleración de 1 m/s2 ,¿Cuánto tiempo tardará en llegar al final de la carretera?
Para resolver este problema se aplica la fórmula obtenida anteriormente para calcular el tiempo, por razones de comodidad se omiten las unidades en los cálculos aunque se debe recordar que las unidades básicas usadas son el metro y el segundo

La segunda solución se descarta debido a que el valor del tiempo no puede ser negativo, por lo tanto el automóvil recorrerá la carretera en 35,83 segundos.
Si bien el movimiento unidimensional es relativamente sencillo de entender, es sumamente importante pues es la base para comprender las nociones teóricas que rigen lo demás tipos de movimientos (movimiento bidimensional, lanzamiento de proyectiles, caída libre, movimiento armónico simple, entre otros).
Referencias Bibliográficas
-> Física (1993) Resnick, Halliday y Krane 3ra edición Compañía Editorial Continental México Volumen 1 pág. 17.

buena explicación, lógico estudio y buen análisis de cada una de los términos y conceptos que estudia el principio físico de este hecho.! :)
Gracias por el apoyo, Saludos.
Que buen recuerdo me traes a la mente, desde que estaba en primer año de Ingeniería Civil, comenzó mi pasión acentuada por la Física y fíjate que casualidad, el libro que me abrió las puertas en estos menesteres fue nada mas y nada menos que el de Física del autor Resnick Halliday quizás no la misma edición que tu mencionas (La mía es mas antigua) pero el autor es el mismo, lo que me trae nuevos recuerdos de esos estudios. Gracias por presentar ese tema y como tu bien sabes , si ese ,móvil disminuye en forma constante su velocidad, estaríamos en el caso del movimiento rectilíneo uniformemente retardado o desacelerado como también se conoce donde las formulas son muy parecidas, solo cambiando, donde corresponde el signo mas (+) por el signo menos (-). Un gran saludo.
Claro, pero básicamente se rige por las mismas fórmulas, me alegra que te haya gustado, gracias por el apoyo, Saludos.
Esto me hizo recordar a mi primer semestre en la universidad, muy parecido a este método nos lo explicaron y allí nos dimos cuenta que en el bachillerato es una formulita y ya. Sigue así, un cordial saludo.
Ok, gracias, Saludos.
Muy buen post amigo, acercándonos a todos a la física :)
Gracias, Saludos.
buen post. apoyame me gusta la ciencia
Excelente post Ysmael, muy educativo, ha sido escogido entre los post destacados para promocionar, visita nuestro blog para que te enteres de quienes son los otros post destacados y sepas quien ganó el concurso #characterchallenge.

Gracias por el apoyo.
Exelente post Ysmael, explicas en un post mejor de lo que encuentro en un libro de física, de verdad creo que tienes talento para esto, te felicito.
Te leo directamente desde los post destacados de @steemfamilyhi
Gracias por el apoyo @erikatrend