Conspiracy Theory Thursday #2: The Truth About Fluoride

source
If you've heard about fluoride before, you've also probably heard that it's a chemical present in your tap water.
But why exactly is it there anyways? Is it good for you? Does it do any harm? Is it part of a global scale plot to subjugate the will of the world population?
What is Fluoride?
Fluoride is a variation of the naturally occurring element fluorine, which is estimated to be the 13th most abundant element in nature.[1]
It is naturally present at varying concentrations in most of the fresh and saltwater sources around the world, including rainwater. On surface water, such as lakes and rivers, the concentrations vary between 0.01 to 0.3 mg/L (milligrams per liter). Groundwater sources (such as wells) have a wider range of concentrations, reaching up to 8 mg/L in some parts of China.[2]
Water fluoridation around the world. Countries with purposeful fluoridation can have natural fluoridation as well | sourceThe conspiracy
There are many variants of the fluoridation conspiracy, but pretty much all of them point in the same direction: governments are adding fluoride salts to the public water supply as a means to weaken the populations' cognitive abilities and make them susceptible to manipulation.
Apparently, the company with the biggest profit to make with all this was ALCOA. At the time, ALCOA had an endless supply of toxic waste from its aluminum processing operation - fluoride. A scientist paid by the company ran an experiment on rats that determined that dental cavities were reduced when fluoride was introduced into their drinking water.
During the Second World War, the industrial pollution by fluoride also increased dramatically due to the accelerated production and use of aluminum in the manufacture of aircrafts, most of which came from ALCOA. It was also around that time that the US began to add fluoride to the water supplies on purpose to promote dental health. Many conspiracy theorists find this to be a smoking gun.
Some of the fluoridation detractors also like to point out that fluoride was added to the water supply in concentration camps under Hitler as a way of making the prisoners docile and manageable.[3] However, there’s no conclusive evidence that this is true.

source
Many of the discreditors like to associate the fluoridation skeptics arguments to the famous scene in Dr. Strangelove (1964), where General Jack D. Ripper (Sterling Hayden) educates Capt. Lionel Mandrake (Peter Sellers) on how fluoridation of water is “the most monstrously conceived and dangerous communist plot we have ever had to face”.
While this is a clear attempt to ridicule the concerns about fluoridation, there’s more to the story than the fluoride advocates are comfortable to admit.
It is true, for example, that an ALCOA chemist conducted studies on the effects of water fluoridation on teeth enamel.[4], [5] The science on fluoridation's benefits is also far from settled.
Why would we put toxic waste in our water?
While its primary use is still the refining of aluminum and other metals, fluoride has been added to the water supply since the 1940’s as a way to prevent tooth decay. The official research supporting the thesis dates back to 1925. A study conducted by British dentist Norman Ainsworth attributed both the staining of teeth and reduced tooth decay to the levels of fluoride present in the drinking water.[6]
The US Public Health was eager to investigate this link and assigned Dr. H.T. Dean to further the research. In his investigations along 21 different cities, Dr. Dean determined that teeth smearing was rare where the fluoride levels were under 1 mg/L. At the same time, most of the preventive effects were also observed at 1 mg/L concentrations.

source
According to the Center for Disease Control and Prevention (CDC), Dean compared the prevalence of fluorosis with data on dental caries collected by others in 26 different states, noticing a strong inverse relation. He then confirmed the relationship by conducting a study in 21 cities in Colorado, Illinois, Indiana and Ohio.[7]
This raises the question: if Dean had access to data from twenty-six states, why did he limit the research to four of them?
In his defense, Dean claimed that he chose only the cities which he had evidence of the water supply being a stable source of natural fluoride for more than two decades. Dr. Fred Exner, a respected radiologist and known critic of fluoridation, challenged the claim in court. Dean admitted then that “some of the cities did not meet that criterion”.[8], [9]
The public experiments begin
In the light of this and similar research, it was formulated the hypothesis that the control of the fluoride level of the public water supply to 1 mg/L could help prevent oral decay. To test this hypothesis, the city of Grand Rapids was chosen in 1945 to be part of the first controlled water fluoridation public experiment, with the nearby city of Muskegon serving as a control.
Annual examination of selected samples of children continuously resident in Grand Rapids continued for 15 years. Muskegon remained the non-fluoridated control city until July 1951, at which time, in response to the observed effects in Grand Rapids, city officials decided to fluoridate the supply in Muskegon also. Annual dental examinations of samples of children continuously resident continued for a further three years in Muskegon[...]. The authors presented age-specific data for children aged 4-13 years for deciduous teeth and 6-16 years for permanent teeth and noted that water fluoridation was "remarkably effective" in reducing the incidence of dental caries in both groups.[10]
Data for Grand Rapids after 15 years of fluoridation were published in 1962. By this time the Muskegon data were not reported, but rather the comparison was made with the Grand Rapids baseline data.
The same article goes on to conclude that this trial was not exactly a prime example of scientific research:
Of course, the quality of the Grand Rapids-Muskegon study was to some extent compromised by, among other issues, the decision to fluoridate the control community after five years.[10]
A few other public experiments of this kind would take place in the following years, but, like their predecessor, none of them can be described as rigorous.
Modern research raises new questions
In November 2016, a number of health organizations and civil societies signed a petition urging the Environmental Protection Agency (EPA) to ban the use of fluoridation chemicals in the water supply due to their potential toxicity. In the petition are cited 196 peer-reviewed studies published over the last 10 years. Almost all studies - 189 of them - reported some sort of potential harm in the likes of reduced IQ or increased behavioral problems, many of which pointed these adverse effects even at the ingestion levels considered safe for American standards.[11]
It is also important to distinguish between the concentration of fluoride in the public water supply and the dose of fluoride ingested by individuals. In rural China, where most of the IQ studies took place, fluoridated toothpaste is not a thing. In the US, however, more than 95% of toothpastes have fluoride in their composition.
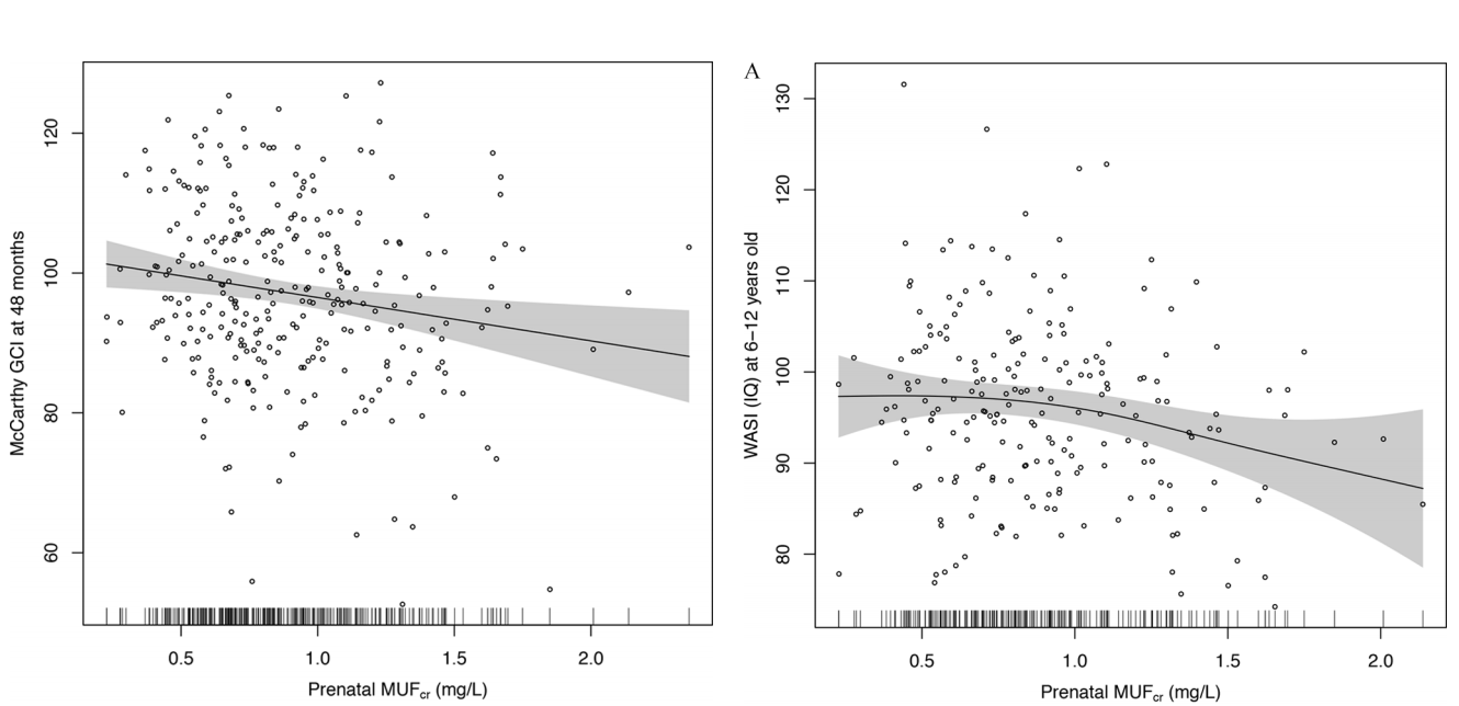
In Mexico, for example, there’s no mandatory fluoridation. It’s water supply, however, has a naturally high fluoride concentration. In a recent study by the University of Toronto, researchers analyzed the concentration of fluoride in the archived urine samples of Mexican mothers during pregnancy. The median concentration was 0.9 mg/L.
The researchers applied cognitive function tests to the offspring of these women divided into two groups. Those aged 4 took the McCarthy Scales of Children’s Abilities measured by the General Cognitive Index (GCI), and those aged 6-12 had their IQ’s measured by the Wechsler Abbreviated Scale of Intelligence. The data suggest that an increase of 0.5mg/L to the median concentration of fluoride predicted a decrease of 3.15 points in the GCI and 2.50 points in their IQ scores.[12]

Adjusted association of maternal urinary fluoride (MUFcr) and General Cognitive Index (GCI) scores in children at age 4 y (left) and children’s IQ at age 6–12 y (right) | source
Another famous research by the Department of Environmental Health at Harvard reviewed twenty-seven epidemiological studies on the neurotoxicity of fluoride that had drinking water as the only exposure. The conclusion was that “children in high-fluoride areas had significantly lower IQ scores than those who lived in low-fluoride areas”.[13]
Final thoughts
I'm by no means exhausting the literature here. There are plenty of sound research out there linking fluoride to all sorts of cognitive impairments, bone deficiencies, reproductive dysfunctions and even cancer.
Even though there’s strong evidence suggesting that fluoridation might weight more on the side of harm than benefits (if any), the burden of proof seems to rest on the side of the skeptics rather than the proponents of fluoridation.
Fluoride is a very toxic material that can be lethal in higher doses. Like it or not, we have to take into account that we are basically trusting our lives in the hands of the government. That alone should be a fact of enormous concern to every sane person. Accidents can and do happen.[14]
While the American Dental Association (ADA) defends mandatory fluoridation with tooth and nail, it's important to remember that doctors can get it wrong, intentionally or not. Until a few years ago, saturated fats were deemed terrible for your health and should be avoided as much as possible. We know that not to be the case anymore.[15]
The fluoride lobby, however, demands proof that the substance is unequivocally harmful before its use can be dismissed. So much for the “better safe than sorry” way of doing things.
Sage up,
References
[1] Abundance of elements in Earth's crust
[2] Fluoride in Drinking-water
[3] The Use Of Fluoridation For Mass Mind Control
[4] The Bauxite Story - A look at ALCOA
[5] The Story of Fluoridation - National Institute of Dental and Craniofacial Research
[6] Further Studies in Caries and Fluorosis
[7] Achievements in Public Health, 1900-1999: Fluoridation of Drinking Water to Prevent Dental Caries
[8] Schuringa v. City of Chicago, 198 N.E.2d 326 (Ill. 1964)
[9] The Case Against Fluoride: how hazardous waste ended up in our drinking water and the bad science and powerful politics that keep it there. Connett P, Beck J, Micklem HS. Chelsea Green Publishing; 1 edition (October 7, 2010)
[10] One in a million: the first community trial of water fluoridation
[11] Petition to the U.S. Environmental Protection Agency to Ban Fluoridation
[12] Prenatal Fluoride Exposure and Cognitive Outcomes in Children at 4 and 6–12 Years of Age in Mexico
[13] Developmental fluoride neurotoxicity: a systematic review and meta-analysis
[14] Are fluoride levels in drinking water associated with hypothyroidism prevalence in England?
[15] The Seven Countries Study
Other Relevant Sources
- Fluoridation of Drinking Water to Prevent Dental Caries
- Impact of fluoride on neurological development in children
- Fluoridation - Center for Disease Control and Prevention
- The ADA is a force for good
- Measuring the short-term impact of fluoridation cessation on dental caries in Grade 2 children using tooth surface indice
- A Systematic Review of Public Water Fluoridation
- Neurobehavioural effects of developmental toxicity
- Public Health Reports: Domestic Water and Dental Caries
- Achievements in Public Health, 1900-1999: Fluoridation of Drinking Water to Prevent Dental Caries
- Fluoride in drinking water: A Scientific Review of EPA’s Standards

Hi, how are you doing? I post regularly on subjects related to cryptocurrency and new tech. If you like my stuff and want to get it fresh off the keyboard, follow me @sek3.
READ ALSO
- Conspiracy Theory Thursday #1: The Flat Earth Hypothesis
- 5 Essential Cryptocurrency Investing Tools That You probably Never Heard About
- A day at the races - Are we all drunk on ignorance?
- Ad Networks Could be Using Your Computer to Mine Cryptocurrencies Right Now
- How To Reduce Your Bitcoin Transaction Fees in up to 80%
- Bitcoin makes it to Davos and government talking heads are pooping their pants in excitement. Not really.