Steem 史记: @mrpointp 列传 (告别篇)
由于近期发现数据源 steemdata 的不靠谱行为, “大鹏观察”决定无限期停业整顿。本期“Steem 史记”是停业整顿之前的最后一期,向大家告别。所以,本期不接受下期报名了,请见谅。本期使用的数据来源主要仍然是 steemdata.com,主角的粉丝数据仍然有问题,所以粉丝数据采用了 steemsql。
“大鹏观察”本期故事的主角是 @mrpointp。跟前面发布过的 @mrspointm 列传 的主角是两口子,所以建议大家对照着看——你懂的。
在撰写本帖时,@mrpointp 在 Steem CN 好友群里按有效 SP 排序坐第 24 把交椅,相当于梁山好汉的穆弘,绰号“没遮拦”。
让我们从 @mrpointp 帖子里关键词的词云图开始。
前情回顾:
- Steem 史记: @tumutanzi 世家(1, 2, 3)
- Steem 史记: @justyy 列传
- Steem 史记: @htliao 列传
- Steem 史记: @shenchensucc 列传
- Steem 史记: @mrspointm列传
- Steem 史记: @hannahwu 列传
Steem 史记: @mrpointp 列传
@mrpointp 者,China 人氏,活跃于东八区。由于本文涉及的时间均采用标准时区 UTC,换算成该时区均需加上 8 小时。
话说那是个载入史册的时刻: 2017-06-27 13:54:12。乾坤混沌,天地苍茫,每个人都不知道 steem 未来的方向在哪里,不知何去何从。就在这时,某个角落,传来一声婴儿的响亮啼哭。 作为这个世界的第 226739 个生命,@mrpointp 降生了。
光阴荏苒,如今已是 2017-09-12 16:18:01, Steem 全网注册用户总数已有 349432 个,全网发帖总数已经有 2128981 篇。在这茫茫人海里, @mrpointp 有过哪些壮举和作为?
This is a report of the Steemit ID @mrpointp. The data were sampled from https://steemdata.com/ at 2017-09-12 16:18:01, when there were in total 349432 accounts and 2128981 posts on Steem. Data were processes and this report was written in R
language.
@mrpointp 的基本信息 Profile
| items | info |
|---|---|
| name | mrpointp |
| id | 226739/349432 |
| created | 2017-06-27 11:54:12 |
| profile_image | ![]() |
| about | bodybuilding, travel, food, film, novel,photography |
| location | China |
| website | https://steemit.com/@mrpointp |
| post_count | 1044 |
| available_STEEM | 0 |
| available_SBD | 0.687 |
| available_VESTS | 3626297.70275 |
| reputation | 60.95 |
| followers_count | 413 |
| following_count | 94 |
帖中之最 Top Posts
自诞生后,@mrpointp 就对这个世界发出了自己独特的声音,共发帖 125 篇。我们来看看 @mrpointp 发布的帖子里的几个第一名。
In this section we listed @mrpointp's top posts.
字符最多的帖子 Top post with the most characters.
插图最多的帖子 Top post with the most figures.
修改间隔最长的帖子 Top post with the longest time between the publication and the final edit.
- There is always someone keeping working out (part 7)(Original) /总有一个比你忙,比你穷,比你老的人在健身(七),发布 165.9 小时即 6.9 天之后,作者做了最后一次修改。
得票数最多的帖子 Top post with the most upvotes.
- 我的三个精彩瞬间/Three of My Wonderful Moments,得到 124 个赞。
赚钱最多的帖子 Top post with the most payout value.
粉丝情况 Followers and following
@mrpointp 广结四海豪杰,有 413 个追随者,@mrpointp 关注的 ID 总数是 94。其中,有 41 个 ID 跟 @mrpointp 是双向关注的,而 53 个ID 虽然被 @mrpointp 关注,但却没有关注 @mrpointp 。
@mrpointp had 413 followers. @mrpointp followed 94 IDs in total, in which 41 IDs interacted with @mrpointp bidirectionally, while 53 IDs did not follow @mrpointp.
若问上图中红色和蓝色区域的名单,请使用 @dapeng 开发的在线小工具 steemr。
随着朋友数量的变化, @mrpointp 逐渐积累声望。下面是声望值增长的时间趋势。
发帖 Posts
下图是 @mrpointp 的发帖时间图,图里每个点代表一篇帖子,往左水平看对应的是发帖的时刻,往下垂直看是发帖的日期。图中使用的标准时区 UTC。
The following figure shows @mrpointp's active time. The green line indicates @mrpointp's register time on Steem.
下图是个特殊的时钟,一圈是24小时,显示了 @mrpointp 一天24小时里发帖的频次,面积越大的时段,发帖数就越多。红线显示的是频次分布:每两条相邻红线之间的帖子数,占全部帖子数的 25%。哪两条红线最接近,哪两条红线之间就是 @mrpointp 发帖的高峰时段。主要集中在北京时间 9 时和 20 - 21 时。跟 @mrspointm 有相似之处。
The figure above shows the frequency of @mrpointp's posts.
下图是每周累计发帖总数。前期比较高产,最近比较有节制。
留言 Reply
下图是 @mrpointp 对别人帖子的评论(留言)时间图。蓝色点表示周一到周五,红色表示周六和周日。八月有一段时间没有留言。
下图是 @mrpointp 每天发布评论的时刻统计。24 小时全有?
下图是每周发表的评论总数。
点赞 Vote
下图是 @mrpointp 发布投票(点赞)的时间趋势图。
The following figure shows @mrpointp's active vote time.
下图是 @mrpointp 点赞的24小时分布图。24小时全有?
每周点赞总数:
帖子的质量和收入 Quality and money
下面的数据表格是 @mrpointp 发帖的首选分区的次数。@mrpointp 发帖最多的圈子是 'cn'。
The table below shows the categories (the first tags) of @mrpointp's posts. @mrpointp posted most posts in 'cn'.
| category | Freq |
|---|---|
| animedrawingchallenge | 1 |
| cn | 108 |
| diy | 3 |
| drawingchallenge | 2 |
| food | 4 |
| introduceyourself | 2 |
| issue | 1 |
| photography | 1 |
| selfportrait-contest | 1 |
| steemit | 1 |
| travel | 1 |
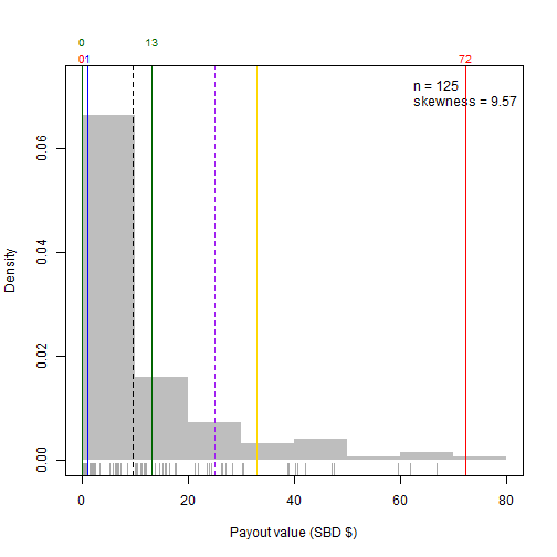
现在我们来谈谈钱。下图显示的是单篇帖子收入的分布。横坐标是美元,阴影面积越大,对应美元的帖子数量越多。 @mrpointp 共发帖 125篇,总收入为 1199.66 SBD, 单帖收入最高为72.24 SBD,平均每帖收入为9.6 SBD。
Now let's talk about money. The figure below shows the dollars @mrpointp got from each post. Averagely @mrpointp earned 9.6 dollars per post, with the maximum of 72.24 dollars from one post.
下图显示的是每帖收入的时间趋势。
The figure below shows the trend of @mrpointp's money per post.
下图是 @mrpointp 帖子获得的投票(点赞)数。 @mrpointp 累计得赞 6352 个,单帖得到的点赞数最高为 124 个,平均每帖得赞 50.8 个。
The figure below shows the upvote number of each post. Averagely @mrpointp earned 50.8 upvotes per post, with the maximum of 124 upvotes.
下图是平均每赞得到的收益 SBD 的时间趋势。
下图是每周收入总和的时间趋势。
为 @mrpointp 帖子得到的投票次数最多的前三位伯乐是 @banjo, @cnfund, @minnowsupport。下面为 @mrpointp 帖子得到的投票次数超过 20 次的 ID 词云图。
为 @mrpointp 帖子收益贡献最多的前三位伯乐/金主/贵人是 @abit, @linuslee0216, @htliao。他们一共贡献了 @mrpointp 全部收入的 75%。排在他们后面的第 4 到第 10 位的贡献比例如下图。
感谢关注“大鹏观察”。欢迎提出宝贵意见。谢谢。





















awesome work man, you are a continuous work machine man, 希望有一天你也会介绍我,呵呵,支持, 点赞,有空的话帮我点一个赞吧, 👍谢谢 :)
我的新 post
谢谢。照片拍得很精彩。
好强大的数据,结果都不重要了
结果很重要.....
过几天就变了呢,都是阶段性的啦。
great feeds. i just support you with a comment
Thanks!
@dapeng Thanks for publishing this Charming instant in time for yourself..
Thanks, but I don't think that you got the point of this post.
Awesome Work
Thanks.
I don't have a son.
@dapeng The online market place is a wonderful industry for truth of the matter and lies. Now it is actually quite challenging to acknowledge where by the reality is.
辛苦大鹏哥啦!
不辛苦不辛苦!