[의학 연구] 컴퓨터는 폐암의 종류를 잘 예측할 수 있을까? <CAD system on chest CT 2>
안녕하세요? 영상의학과 전문의 @radiologist입니다.
오늘 살펴볼 내용은 컴퓨터가 폐암의 종류를 잘 예측 할 수 있는지 살펴보는 내용입니다.
이전에 컴퓨터가 병변을 찾을 수 있을까? 의 내용과는 조금 다른 내용입니다.

들어가기 앞서
아래 내용에서 약자로 표기된 폐암 종류가 많은데, 이에 대해 간단히 보겠습니다. 폐암 크게 소세포암(SCLC, small call lung cancer) 비소세포암(NSCLC, non-small cell lung cancer)으로 나누며, 비소세포암은 선암(adenocarcinoma)와 편평세포암(squamous carcinoma), 대세포암(Large cell carcinoma)로 나눕니다. 이중 발생률이 높고 또 비흡연자 및 여성에서 많이 생기는 암이 선암입니다. 선암은 조직학적으로 다음과 같이 분류합니다.

CT에서 선암의 조직학적 분류를 예측하면 추적 검사 및 치료 방법에 영향을 줍니다. 그래서 CT에서 정확히 분류를 예측할 수 있다면 큰 도움이 됩니다.
CT에서는 아래로 갈수록(조직학적으로 안좋을 수록) 크기가 커지고, 결절의 고형 성분이 많아져 CT density (CT에서 하얀 정도)가 올라갑니다. 그런데 고형 성분이 안보이는 pure GGO 결절은 조직학적 예측이 쉽지 않습니다.

같은 결절의 변화. 왼쪽은 뿌옇게 보이는 pure GGO, 오른쪽은 4년 뒤 하얗게 변한 part-solid GGO(고형 성분이 생겼다는 말).
왼쪽처럼 전체적으로 뿌옇게 보이는 것이 pure GGO 결절이며, 판단이 어렵다.
From; Jessica L. Seidelman et al. Incidental, subsolid pulmonary nodules at CT: etiology and management, Cancer Imaging (2013) 13(3), 365373. [Open access, CC-BY]
컴퓨터로 폐암 종류 예상하기
Ursula Nemec et al. Software–based risk stratification of pulmonary adenocarcinomas manifesting as pure ground glass nodules on computed tomography. Eur Radiol (2018) 28:235–242.
방법
이 연구는 “Computer Aided Nodule Assessment and Risk Yield” (CANARY) software package를 사용했습니다. 이 프로그램은 복셀 농도(voxel density)를 분석하여 폐결절의 위험성(즉, 조직학적 분류)을 예측합니다. 연구는 후향적 연구로, 이미 수술하여 병리적(조직학적)으로 확인된 pure GGO(고형 성분이 안보이는) 결절을 대상으로 했습니다. 이 결절을 다시 두 명의 흉부 전문 영상의학과 의사가 프로그램을 통해 분석하여 대조하였습니다. 여러 기준에 따라, 최종적으로 64개의 병변이 대상이 되었습니다.
프로그램은 결절을 여러 개로 쪼개고, 쪼개진 복셀을 분석하여 9가지 종류의 색깔로 맵핑했습니다. (1) 저위험은 blue-green-cyan, (2)중위험은 pink-yellow, (3)고위험은 violet-indigo-red-orange로 맵핑했습니다.
결절의 분석을 한 뒤, 이미 확인된 조직학적 분류(AIS/MIA/IAC)로 나누어 맵핑간의 차이가 있는지 보았습니다. 또한 결절 내 저위험 맵핑이 차지하는 퍼센테이지와 조직학적 분류가 연관 있는지, 그리고 마지막으로 침습적 병변(MIA and IAC)을 예측하는, 저위험 맵핑이 차지하는 퍼센테이지의 문턱 값(기준 값)을 평가했습니다 (즉, 저위험 맵핑이 얼마나 적으면 침습적 병변인지).
결과
64개 중에 28개(44%)는 AIS, 26개(41%)는 MIA, 10개(16%)는 IAC였습니다. 3개로 나누어 서로간 맵핑의 분포 차이가 있는지 분석해보았을 때 저위험도 맵핑이 차지하는 퍼센테이지가 AIS>MIA>IAC 순으로 유의하게 차이가 있었습니다. 중위험, 고위험 맵핑의 퍼센테이지는 역순의 유의한 차이를 보였습니다.

비침습 병변. 저위험 색깔이 대부분이다.

침습 병변. 저위험 색깔이 적게 보인다.
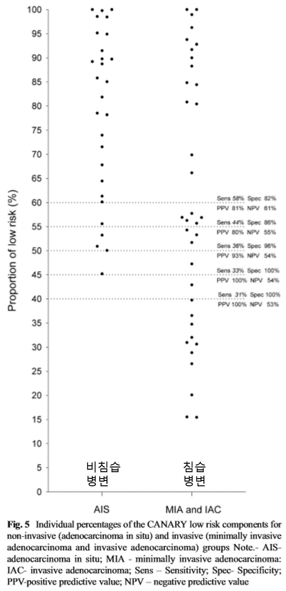
아래 그림은 비침습(AIS)/침습(MIA, IAC)로 나누어서 저위험 부분이 얼마인지 나타낸 그림입니다.

침습 병변(우측)은 저위험이 차지하는 부분이 적다.
다음 표는 저위험이 차지하는 퍼센테이지의 기준에 따라 민감도,특이도 및 양성/음성 예측도를 나타낸 표입니다.

저위험이 차지 부분 기준을 50%이하로 기준을 잡으면 특이도와 양성예측도가 좋다.
고찰
종합해보면 이 연구를 통해 Pure GGO 결절의 조직학적 타입에 따라 CANARY 맵핑에 차이가 있음을 알 수 있었습니다. 이번 연구에 쓰인 프로그램을 쓴다면, 조직학적 분류를 예측하는데 충분히 도움이 될 것으로 보입니다. 이는 실제 조직학적인 정의와도 잘 맞는다는 것을 알 수 있었습니다.
저위험도 퍼센테이지가 차지하는 기준 값은 45%에서 100%의 특이도와 양성 예측도를 보였습니다. 따라서 50% 미만의 값을 기준으로 하면 이 프로그램을 사용 하여 좋은 예측도를 보일 것으로 생각됩니다.
@radiologist 덧
앞선 포스팅이 컴퓨터가 병변을 찾을 수 있는지가 주제라면, 이번 포스팅은 이미 찾은 병변의 평가(즉, 병변이 얼마나 예후가 나쁜 종류인지)에 얼마나 도움을 줄 수 있는지 알아본 내용입니다. 앞서 보여드린 내용과 마찬가지로, 결국 컴퓨터가 대체 하는 것이 아니라 얼마나 도음을 줄 수 있는지가 포인트가 됩니다.
실제 판독을 하다 보면 사람 눈으로만 평가하기에는 어려운 경우가 있습니다. 아주 세세한 변화나 차이는 인간의 눈을 통한 직관적/주관적 평가로 한계가 있기 때문이지요. 그러나 컴퓨터 프로그램은 (비록 프로그램을 돌리는 중에 약간의 주관성이 개입될 여지가 있지만) 비교적 객관적으로 위험도가 얼마인지 알려줄 수 있으리라 생각합니다. 마치 이 병변은 ‘침습적인 병변일 확률: 73%’ 와 같이요. 아마 두루뭉술한 판독이나 애매모호한 정보 전달은 줄어들 수 있겠고, 임상적인 처치에 도움을 줄 수 있겠습니다. 다만 정확한 정보 제공이 되려면 더 많은 연구로 기준 값을 정해야 겠고 기타 법적 문제 해결과, 영상의학과 의사의 숙달이 필요하리라 생각합니다.
다음 포스팅은 실제로도 많이 쓰이는, 유방촬영술 CAD의 능력과 가치를 평가한 내용으로 찾아뵙겠습니다.

Reference
- Ursula Nemec et al. Software–based risk stratification of pulmonary adenocarcinomas manifesting as pure ground glass nodules on computed tomography. Eur Radiol (2018) 28:235–242. [Open access, CC-BY]
- William D. Travis et al. International Association for the Study of Lung Cancer/American Thoracic Society/European Respiratory Society International Multidisciplinary Classification of Lung Adenocarcinoma. Journal of Thoracic Oncology Vol 6 Num 2, February 2011.


Cheer Up!
영광입니다 !!
당신이 제공 한 정보에 감사드립니다, 매우 도움이되었다, 그리고 꽤 좋은 생각, 난 당신이 다른 사람을 위해 도움이 될 수 있도록 노력하겠습니다
Thank you for ur kindness :)
Hey @radiologist, great post! I enjoyed your content. Keep up the good work! It's always nice to see good content here on Steemit! :)
Thank you !! I'll try to introduce good and useful content ;)
이런 좋은글 너무 감사합니다. 이런 전문적인 글도 많아져야 스팀잇이 더 클수있을것 같아요. 더 많은 사람이 같이 보기 위해 멍멍이 부릅니다. @홍보해
그리고 머신러닝의 의료쪽 도움은 전문 의료인이 아니더라도 1차 진료를 평균이상의 진료율로 검출해낼 수 있다는 점에서 큰 장점이 있을것 같습니다. 그리고 그 비용도 계속 줄어들 테구요.
칭찬 감사합니다. 항상 쉽고 좋은글을 쓰려고 노력하는데 잘 안되는 것 같습니다. 더욱더 노력하겠습니다.
머신러닝은 영상의학과에서 싫어하든 좋아하든 결국에는 쓰일 수 밖에 없으리라 생각합니다. 이왕에 다가온다면 두 팔 벌려 안아줘야 된다고 생각합니다. 저도 더욱 더 공부해야겠지요.
팔로우하고 종종 찾아뵙겠습니다. 감사합니다 ^^
좋은 정보 감사합니다!!
감사합니다! 더 쉽게 쓸 수 있게 노력하겠습니다.
신기하네요.ㅎ
천천히 잘 읽어보고 갑니다.ㅎ
감사합니다 ^^
영상의학과 전문의세요?^^; ㅎㅎ 저는 이번에 방사선사면허 따기만한 사람이랍니다 ㅎㅎ 메디블록 진행하는 분중 한분도 영상의학과 던데.. 역시 컴퓨터기술과 이제 영상의학이 결합되어가는 과정같아요 ㅎㅎㅎ 포스트 보면서 많이 배우겠습니다 ^^;
넵 반갑습니다 ^^ 영상의학과도 단순한 판독만 하는게 아니라 여러 길이 있지요.. 저도 많이 배우고 있는 중입니다. 딥러닝 AI는 얼마 지나지 않아 영상의학과에 깊숙히 들어오지 않을까 싶네요.
실제 일하시는지는 모르겠지만.. 좋은 이미지 많이 찍어주세요 :)
여러분야의 글을 읽어서 좋습니다.
보팅드립니다! 팔로우부탁드려요~
반갑습니다 ^^ 팔로우하고 소통 하겠습니다~ 환영합니다.