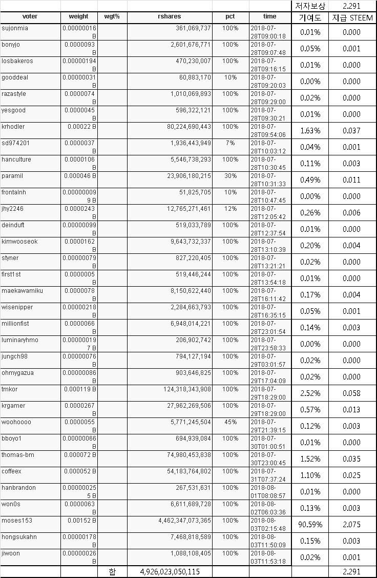
기여도 이벤트 728차 결과 발표
기여도 이벤트 728차 결과 발표입니다.
스팀가격 하락으로 당분간 스팀으로 정산 드립니다..
저자보상
기여도 이벤트 728차 링크 - https://steemit.com/kr/@shinternational/728-100
steemd 사이트에서 rshares 확인
링크 - https://steemd.com/kr/@shinternational/728-100
기여도 대비 저자보상 지급
송금 내역
보팅 한 만큼 돌려드리는 이벤트 :
보팅기여도 737차 8월6일 오전9시27분
https://steemit.com/kr/@shinternational/737-100
보팅기여도 738차 8월6일 오후12시00분
https://steemit.com/kr/@shinternational/738-100
보팅기여도 739차 8월6일 오후3시05분
https://steemit.com/kr/@shinternational/739-100
보팅기여도 740차 8월6일 오후6시00분
https://steemit.com/kr/@shinternational/740-100
보팅기여도 741차 8월6일 오후9시00분
https://steemit.com/kr/@shinternational/741-100
보팅기여도 742차 8월6일 오후11시30분
https://steemit.com/kr/@shinternational/742-100
보팅기여도 743차 8월7일 오전9시00분
https://steemit.com/kr/@shinternational/743-100
보팅기여도 744차 8월7일 오후12시00분
https://steemit.com/kr/@shinternational/744-100
보팅기여도 745차 8월7일 오후3시00분
https://steemit.com/kr/@shinternational/745-100
보팅기여도 746차 8월7일 오후6시00분
https://steemit.com/kr/@shinternational/746-100
보팅기여도 747차 8월8일 오후8시37분
https://steemit.com/kr/@shinternational/747-100
보팅기여도 748차 8월7일 오후11시30분
https://steemit.com/kr/@shinternational/748-100
보팅기여도 749차 8월8일 오전9시00분
https://steemit.com/kr/@shinternational/749-100
보팅기여도 750차 8월8일 오후12시00분
https://steemit.com/kr/@shinternational/750-100
보팅기여도 751차 8월8일 오후3시00분
https://steemit.com/kr/@shinternational/751-100
보팅기여도 752차 8월8일 오후6시01분
https://steemit.com/kr/@shinternational/752-100
보팅기여도 753차 8월8일 오후9시00분
https://steemit.com/kr/@shinternational/753-100
보팅기여도 754차 8월8일 오후11시30분
https://steemit.com/kr/@shinternational/754-100
보팅기여도 755차 8월9일 오전9시01분
https://steemit.com/kr/@shinternational/755-100
보팅기여도 756차 8월9일 오후12시00분
https://steemit.com/kr/@shinternational/756-100
보팅기여도 757차 8월9일 오후3시00분
https://steemit.com/kr/@shinternational/757-100
보팅기여도 758차 8월9일 오후6시00분
https://steemit.com/kr/@shinternational/758-100
보팅기여도 759차 8월9일 오후9시00분
https://steemit.com/kr/@shinternational/759-100
보팅기여도 760차 8월9일 오후11시31분
https://steemit.com/kr/@shinternational/760-100
보팅기여도 761차 - 8월10일 오전9시03분
https://steemit.com/kr/@shinternational/-761-100--1533222163
보팅기여도 762차 - 8월10일 오후12시03분
https://steemit.com/kr/@shinternational/-762-100--1533222201
보팅기여도 763차 - 8월10일 오후3시04분
https://steemit.com/kr/@shinternational/-763-100--1533222245
보팅기여도 764차 - 8월10일 오후6시05분
https://steemit.com/kr/@shinternational/-764-100--1533222310
보팅기여도 765차 - 8월10일 오후9시06분
https://steemit.com/kr/@shinternational/-765-100--1533222374
보팅기여도 766차 - 8월10일 오후11시30분
https://steemit.com/kr/@shinternational/766-100
보팅기여도 767차 - 8월11일 오전9시00분
https://steemit.com/kr/@shinternational/767-100
보팅기여도 768차 - 8월11일 오후12시04분
https://steemit.com/kr/@shinternational/768-100
보팅기여도 769차 - 8월11일 오후3시00분
https://steemit.com/kr/@shinternational/769-100
보팅기여도 770차 - 8월11일 오후6시00분
https://steemit.com/kr/@shinternational/770-100
보팅기여도 771차 - 8월11일 오후9시00분
https://steemit.com/kr/@shinternational/771-100





kr-event태그하셔서 왔습니다^^
보팅, 팔로우하고 갑니다~
저도 SBD 100% BACK 이벤트 진행중인데 오셔서 참여부탁드려요~
이벤트참여
오늘도 좋은하루 되세요~ :)