주가가 급락한 뒤에는 어떻게 움직일까?
안녕하십니까. 금융과 데이터분석을 좋아(만)하는 배성기입니다!
앞으로 금융과 데이터분석에 관한 글들을 쓸 예정입니다.
팔로우해주시면 감사합니다~
---
이번에 이야기 할 것은
"주가가 급락한 뒤에 주가는 어떻게 움직일까?"
에 대해서 입니다.
주가가 많이 떨어진 날의 종가에 매수하면 오르지 않을까?
라는 궁금증을 실제 데이터를 통해 확률로 보았습니다.
분석 방법은 아래와 같습니다.
대상 : 코스피200
기간: 2006년 1월 1일 부터 현재.
분류: 하루에 10%이상 하락한 종목
기준: Google Finance 의 주가정보를 이용.
수행: 10%이상 하락한 날로부터 각각 1일,20일,60일,120일 뒤의 수익률이 어떻게 되는지를 확인.
---
먼저 기간동안 하루에 10%이상 하락한 종목은 186종목이며,
총 1594번의 급락이 발생하였습니다.
---
결과는 다음과 같습니다.
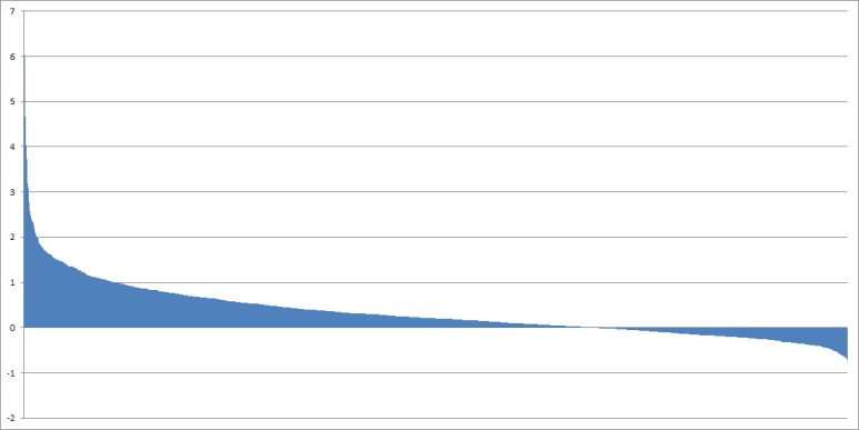
<D+1>
평균수익률 : -0.38%
상승 : 803건, 평균수익률 5.4%
10% 이상 상승 : 139건, 평균 수익률 13.1%
하락 : 744건, 평균수익률 -6.7%
10% 이상 하락 : 206건, 평균 수익률 -13.9%
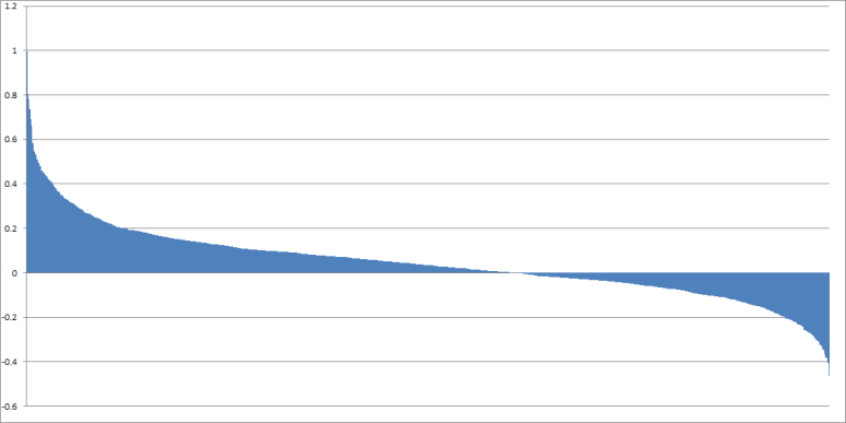
<D+5>
평균수익률 : 4.3%
상승 : 960건, 평균수익률 13.7%
10% 이상 상승 : 476건, 평균 수익률 22.4%
하락 : 623건, 평균수익률 -10.0%
10% 이상 하락 : 245건, 평균 수익률 -18.7%
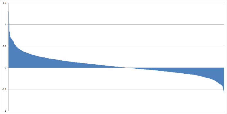
<D+20>
평균수익률 : 4.5%
상승 : 869건, 평균수익률 19.7%
10% 이상 상승 : 570건, 평균 수익률 27.5%
하락 : 723건, 평균수익률 -13.6%
10% 이상 하락 : 398건, 평균 수익률 -20.9%
<D+60>
평균수익률 : 12.4%
상승 : 996건, 평균수익률 30.6%
10% 이상 상승 : 767건, 평균 수익률 38.2%
하락 : 597건, 평균수익률 -17.8%
10% 이상 하락 : 375건, 평균 수익률 -25.2%
<D+120>

평균수익률 : 32.4%
상승 : 1111건, 평균수익률 56.1%
10% 이상 상승 : 948건, 평균 수익률 64.9%
하락 : 483건, 평균수익률 -21.8%
10% 이상 하락 : 364건, 평균 수익률 -27.4%
---
결론적으로
주가 상승과 하락을 단순히 확률의 측면에서 놓고 본다면,
급락한 종목이 다음날 상승할 확률은 50.3%
5일 뒤에 그 종목이 상승해 있을 확률은 60.2%
20일 뒤에 그 종목이 상승해 있을 확률은 54.5%
60일 뒤에 그 종목이 상승해 있을 확률은 62.4%
120일 뒤에 그 종목이 상승해 있을 확률은 69.6%
---
*부족한 글 읽어주셔서 감사합니다!*






굉장히 좋은 글인거 같습니다. 금융에 관해서 많이 배우러 올께요~
맞팔부탁드립니다 ㅎㅎ
감사합니다!
맞팔했습니다!
투자에 대해서는 잘 모르지만
아무튼 우상향 하기를 바래봅니다.ㅎ
감사합니다!
너무 감사드립니다. 금융 및 데이터 분석을 쉬게 알려 주세요. 팔로우 부탁드립니다.
데이터분석 기초부터 글을 쓸 예정입니다.
감사합니다!
그러면 장기 투자가 답이네요?!^^
급락과는 상관없이, 통계적으로 하루 주가 움직임을 보면 하락확률이 더 높습니다.
예전에 SNEK에 관련글을 기고했었는데 기간이 지났는지 없어지고없네요ㅠ.
장기투자가 무조건 좋다는건 아니지만 확률적으로만 따져보면 그렇습니다.
투자란 게 참 어려운 것 같습니다. 저도 요즘 열심히 공부하고 있는데 시장은 항상 제 예상과 반대로 움직이네요..ㅋㅋ