Earth, π², Light and the Meter
Earth, π², Light and the Meter
“There is no such thing as ‘coincidence’” (David Flynn 1962-2012)
The work toward the creation of the unit of length known as the meter (Greek μετρέω metreo, “to measure, count or compare”) was an illuminated endeavor from the beginning.
Founded in 1660, and granted a royal charter by King Charles II, The Royal Society started from groups of London physicians and natural philosophers. They were influenced by the brilliant English philosopher, scientist, statesman, and leader of the Rosicrucian Masonic Order, Sir Francis Bacon (1561–1626) and his work, the “New Atlantis” (1627). To this day, the Society advises the European Commission and the United Nations on matters of science.
Anglican clergyman, natural philosopher, author and one of the original founders of the Royal Society, John Wilkins (1614 – 1672) in “An Essay towards a Real Character and a Philosophical Language” (1668), proposed a new universal language for the use of natural philosophers.
(See my post on the United Nations and the early push to create a new language and its diabolical ramifications: )
His numerous written works include:
The Discovery of a World in the Moone (1638)
A Discourse Concerning a New Planet (1640)
Mercury, or the Secret and Swift Messenger (1641)
Mathematical Magick (1648)
Vindiciae Academiarum (1654)
Also in “An Essay towards a Real Character and a Philosophical Language” Wilkins proposed a decimal system of measures (which we now call the metric system). The new standard of length would be based on a pendulum.
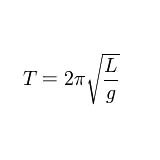
If a pendulum is displaced sideways from its resting (equilibrium) position and released, the restoring force due to gravity combined with the pendulum’s mass causes it to swing back and forth. The time for one complete cycle, a left swing and a right swing, is called the period. The period depends on the length of the pendulum and the force of gravity. For small swings the period is independent of amplitude. This property, called isochronism, is the reason pendulums are so useful in timekeeping.
T is the time period. L is the length of the pendulum and g is the acceleration of gravity
The Dutch mathematician, astronomer, physicist and fellow member of the society, Christiaan Huygens(1629 – 1695) had observed that length of such a pendulum to be 39.26 English inches (.997 m) when taking 1 second per swing. No official action was taken towards the suggestion of decimal system of measurement by the Society at the time. In 1670 William Clement used the seconds pendulum (pendulum length of slightly less than 1 meter) in his improved version of the original pendulum clock by Christiaan Huygens, creating the longcase clock, which could tick one time each second. Until the early 20th century, longcase or grandfather clocks were the world’s most accurate.

A seconds pendulum is a pendulum whose period is precisely two seconds; one second for a swing in one direction and one second for the return swing. At standard Earth gravity (9.80665 m/s2) the seconds pendulum length is 0.99362 m (39.1 in). In 1675 Tito Livio Burattini proposed that the length of the seconds pendulum be named the meter.
A seconds pendulum is a pendulum whose period is precisely two seconds; one second for a swing in one direction and one second for the return swing, a frequency of 1/2 Hz. At standard Earth gravity (9.80665 m/s2) the seconds pendulum length is 0.99362 m


Anyone can do this simple experiment for themselves. Get a stopwatch, some string and a small weighed object. A rock will do. Tie the weight to the end of the string and make a pendulum. Adjust the length of the string so that the weight completes one full cycle – back and forth – in exactly 2 seconds.
Now climb a ladder on a level surface and drop another rock. Continue dropping the rock at different heights until the it takes exactly 1 second to hit the ground.
Mark this height on the ladder and then measure it with the string length that was used to make a 2 second pendulum. The number of string lengths will be very close to 9.80.
In a very controlled environment the experiment explained above would be done in a vacuum so that wind resistance didn’t slow the pendulum or the decent of the weight. Also the pendulum axis must be as friction-less as possible.
The length of a the meter used today is slightly longer than the length that would be obtained in this controlled experiment. This is why the value for L (the length of pendulum) in the equation above is .993621 instead of 1 (the unit of length obtained in our experiment). Since our unit of length is not the same as a meter we can call it whatever we want. How about a “Pendu”.
Also the value for g (the acceleration of gravity on Earth, defined by how far an object falls in one second) would be slightly greater (since our unit length obtained in the experiment is shorter) becoming 9.8696 “Pendus”/sec^2.
In 1790 the French bishop, politician, and diplomat, Charles Maurice de Talleyrand (1754 – 1838) proposed that the meter be the length of the seconds pendulum at a latitude of 45°, since it was known that gravity varied from the equator to the poles because of the centrifugal force of the Earth’s rotation. Thomas Jefferson also considered this option, with one-third of this length defining the foot, for redefining the yard in the United States shortly after gaining independence.
In 1791 with the anti-aristocracy spirit flourishing after the French Revolution along with its rejection of influence of the English Royal society, the French Academy of Sciences defined the meter as equal to one ten-millionth of the distance between the North Pole and the Equator. This seemingly arbitrary substitution required an accurate measurement of the meridian. The Academy commissioned an expedition to accurately measure the distance between a belfry in Dunkerque and Montjuïc castle in Barcelona to estimate the length of the meridian arc through Dunkerque. This portion was assumed to be the same length as the Paris meridian (of Freemason esteem. See: The Temple at the Center of Time). Since the Earth is not a perfect sphere and slightly bulges at the equator, nor is smooth on its surface, the prototype meter bar that resulted from the resulting measurement was .02% shorter that what was originally proposed. However the French standard was still adopted. This is the “official” explanation of why the meter is the length that it is today. However, there is an illuminated reason to why this was done, which will be explained in this post.
The Metre Convention of 1875, also known as the Treaty of the Metre, established of a permanent International Bureau of Weights and Measures to be located in Sèvres, France. In 1889 the new organization constructed a Prototype Meter bar based on the distance between two lines on a standard bar composed of an alloy of 90% platinum and 10% iridium, measured at the melting point of ice.

After the Treaty of the Meter had been signed in 1875, the International Bureau of Weights and Measures (BIPM) at Sèvres made 31 prototype line standards of platinum – 10 percent iridium alloy. One bar, having the length of the Mètre des Archives, was selected as the International Meter. National Prototype No. 27 was sent to the United States, and received by President Harrison on January 2, 1890. No. 27 became the U.S. reference standard for all length measurements. It remained so until 1960.
The International Prototype Meter remained the standard until 1960, when the eleventh General Conference on Weights and Measures defined the meter as equal to 1,650,763.73 wavelengths of the orange-red emission line in the electromagnetic spectrum of the krypton-86 atom in a vacuum.
Since 1983, the General Conference on Weights and Measures defines the meter in a peculiar, circular fashion as the length of the path traveled by light in a vacuum during a time interval of 1/299,792,458 of a second. Stated differently, (or circularly) light travels 299,792,458 meters in 1 second. (The Danish astronomer, Olaus Roemer, first successfully measured the speed of light based on observations of the eclipses of the moons of Jupiter in in 1676 )
An observation attributed to John Charles Web from sometime around 1997- 2008 has recently been making rounds on the Internet.
He writes:
“The Great Pyramid is located at 29 degrees 58 minutes 51 seconds north latitude.
(according to our present system of measurement):
The Speed of Light in a vacuum is 299,792,458 meters per second…..
There is a direct correlation between light speed and the Great Pyramid’s latitude:
a) 29 degrees
b) 58 minutes of arc is 97% of one degree…..
c) 51 seconds of arc is 85% of one minute of arc…..
When we put those numbers together we have 29 97 85 or 299,785,+ nnn or the speed of light in meters per second!
The Latitude of The Great Pyramid (transposed) approximates our present measurement of The Speed of Light (in meters) in a vacuum. This is not a coincidence.” http://www.aloha.net/%7Ejohnboy/pi.htg/pi.htm
The idea that whoever constructed the pyramids used the meter for a system of distance measurement is hard to believe. They would also have to have known the value for the speed of light well as the 360-degree angle measurement system. To most, this coincidence seems to be especially improbable but to add that the builders would then place the pyramid in the exact position on the planet to match the value of the speed of light in meters with the latitude in decimal degrees is beyond consideration. Assuming (incorrectly, I believe) that the Egyptians built the pyramids, this observation becomes even more enigmatic since the Egyptians where not known to have used meters nor a 360-degree angle measurement. Nor is there archaeological evidence that they had a concept of the speed of light.
From metabunk.org:
“The ancient Egyptians never used metres as a unit. They used ‘cubits’. (http://en.wikipedia.org/wiki/Cubit) If they actually knew about the metre one would expect them to use such unit for measurement as well. They simply did not.”
Also the Egyptians did not use the 360 system of degree measurement. They used the concept of a slope which is equivalent to the tangent of an angle. Their angle related measure was the “seked”.
The arguments against this observed coincidence having any validity are typical of the views expressed by Metabunk and other “experts” and the subject has been dismissed as a typical conspiracy theory view held by people who lack any scientific or archeological background.
As I illustrated in my post, “The Pyrus Cydonia And The Origin Of 360 Degrees”, the measurement system of Earth was created for Earth in the context of Earth. The ancients could see the secrets contained in the discernment of Geometry.
Plato said, “Geometry, rightly treated, is the knowledge of the eternal”.
It wasn’t that the measurement system handed down to man coincidentally expressed such things as the value of the cycle of precession, but that the measurement system was created especially to mirror the very important physical laws and conditions of the Earth as it was physically set in the heavens.
What if the value for gravity on Earth was increased in the pendulum equation so that the value for the length of the pendulum came out to exactly 1 meter?
As it turns out, Earth’s standard gravity value only needs to be increased by 0. 64195 %.
9.80665 * .0064195 =. 062954
If the average gravity value on Earth’s surface is increased by only .641% then this pendulum equation would truly define the length of the meter that we use today.
I’m sure many reading with some mathematical background have noticed something peculiar about the new value of gravity for this equation.
9.869604… is also known as PI squared (π²).

In fact, the meter as it is defined today is defined by this equation, although nowhere will you find this information. Light travels 299,792,458 units (known as meters) of the pendulum length defined by this equation each second.
Remember the experiment that was explained above where we made up the unit of length (a “pendu”) that was a bit shorter than the meter? In the experiment the derived value for g (the acceleration of gravity on Earth) is also π² !
A vital, quintessential point to observe here it that if our “pendu” length did turn out to be the length of a meter instead of the slightly longer meter that is used today, light would be measured to travel more of the shorter “pendu” unit lengths, making the value for the speed of light a higher number than 299792458. In other words the speed of light in “pendus” would be 301716975, 0.641% higher and not match to angular measured location of the great pyramid.
If however the value for the acceleration of gravity on earth is increased by .641% to π² using the length of the meter as defined today, the length of the pendulum (L) in the pendulum equation becomes exactly 1 meter.
This equation can not be thought of as arbitrary nor can the fact that our meter just happens to be defined by it. It lends credence to the idea that the builders of the great pyramid actually did expect a length unit to be derived from the pendulum equation to be used to define the speed of light. The value for how far light travels in 1 second using the derived length unit would then be mirrored by the latitude value of the placement of the pyramid on the Earth’s surface.
Remember the modern definition of the meter is based circularly on the speed of light. The 2 second pendulum at π² gravity is circular too in the sense that it has a very circular theme.
π² in radians is π times π radians around a circle.
I’ve inserted an animated gif from Wikipedia that graphically demonstrates the concept of a radian below:

An arc of a circle with the same length as the radius of that circle subtends an angle of 1 radian. The circumference subtends an angle of 2π radians.
π times π radians is equal to 565.48 degrees or 1.57079… revolutions. 1.57079… is also an approximation for π/2.
(π/2 is the first increment of the Wallis Product for pi. (see https://en.wikipedia.org/wiki/Wallis_product) In mathematics, Wallis’ product for π is a formula that is used in quantum mechanical calculations for the energy levels of a hydrogen atom.)
The ramifications of all of this are profound:
The time increments used on Earth (Hours, Minutes, Seconds) also come from the same base-60, 360 degree system of measurement given to Earth. If this was not the case, the pendulum equation could not express the speed of light in unit lengths equal to the value of the decimal degree latitude of the great pyramid.
The meter necessarily had to be the length that it is so that on Earth, it would “fit” the pendulum equation using π² for g. It is only here on Earth that the unit of length that we call the meter could be defined since its gravity approximates π² and our angular measurement system uses 360 degrees. On a planet with greater or less gravity than Earth, the unit length to achieve the same pendulum cycle time would be too long or too short and thus the speed of light in these units would not match the angular position of 29.9792458 degrees North.
The pyramid was not “build by Egyptians” but by the same intelligence that created the measuring system still used today. They knew that the pyramid’s existence in the future would reveal and illustrate these facts. The builders of the pyramid knew the speed of light and that by placing the structure precisely where they did, that the angular measuring system that we use today would indicate the exact value for the speed of light in unit lengths that depended on the local gravity being near π².
This shows also that there is a select group of human beings with the understanding that the great pyramid marked the speed of light via the angelic inspired angular measurement system. The French Academy of Sciences made sure that the meter arrived at the size that it is defined today and was responsible for increasing the length of the meter to fit into the pendulum equation with a g value of π².





Hi! I am a robot. I just upvoted you! I found similar content that readers might be interested in:
http://www.siriustwins.com/meaning/the-revealing/revelation/