Angular Momentum in Quantum Mechanics

angular momentum in quantum mechanics
Good day, Steemit community.
Today, I am going to discuss the angular momentum in quantum mechanics. Classically, angular momentum is the vector cross product between the position vector with the linear momentum vector. It is typically associated with the circular motion of the body. In quantum mechanics, angular momentum's is not a vector anymore but an operator. And it was found to possess some important implication in the property of a quantum system.
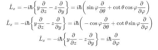
Angular Momentum
The vector-angular momentum
has the following Cartesian components:

and, therefore,

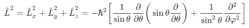
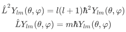
The eigenvalue spectrum for this operator is given by

On the other hand, the eigenvalue of one of its component
is

We can also show that,

And this implies that the operator
and
have a set of common eigenfunctions labelled by the quantum numbers l and m. This shared eigenfunction is called the spherical harmonics
:

Since

only, one of the components of
can be well defined.
Spherical Harmonics
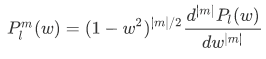
The spherical harmonics are given by the expression

where the
are the associated Legendre functions, defined by

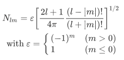
The normalization constants
are given by

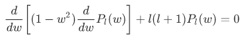
The
are polynomials of order l (power series in w containing a finite number of powers of w, the highest being $w^l$), called Legendre polynomials, and are polynomial solutions of Legendre's equation
The Legendre polynomial are defined on the interval
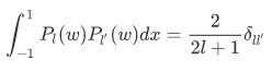
and normalized by the requirement that

Legendre polynomials have the parity of l, that is, they are even functions of w if the integer l is even and odd function of w if l is odd.
You got a 11.11% upvote from @joeparys! Thank you for your support of our services. To continue your support, please follow and delegate Steem power to @joeparys for daily steem and steem dollar payouts!
Congratulations @pauldirac! You have completed some achievement on Steemit and have been rewarded with new badge(s) :
Click on the badge to view your Board of Honor.
If you no longer want to receive notifications, reply to this comment with the word
STOPTo support your work, I also upvoted your post!
Do not miss the last post from @steemitboard!
Participate in the SteemitBoard World Cup Contest!
Collect World Cup badges and win free SBD
Support the Gold Sponsors of the contest: @good-karma and @lukestokes