The TOTEM Experiment: Improving the Standard Model With Odderons!
Introduction
I have just learned that a group of researchers at CERN collaborating on the TOTEM experiment have completed preliminary detections of odderons! This is a highly complex topic that I would like to do my best and make sense of.
What is the TOTEM Experiment?
For starters you are probably wondering what TOTEM stands for. I will share that with you in a second, but first just know that it sounds much more scary than it really is. Here we go, TOTEM stands for the “The TOTal cross section, Elastic scattering and diffraction dissociation Measurement at the Large Hadron Collider”.
The logo for the TOTEM Experiment:
Like every experiment run in CERN, the TOTEM experiment uses high speed collisions between particles and collects various forms of data from their interactions. More specific to the TOTEM experiment is the measurement of the diffraction caused by a glancing collisions between a pair of protons. For more information feel free to visit their home page.
During one of these collisions, one of two quasiparticles, namely a pomeron or an oddedron are needed to govern the repulsion. Both of these quasiparticles are still highly theoretical. Pomerons are thought to be the vehicle which explains the energy transfer by allowing for the exchange of an even number of gluons between them while Odderons explain the exchange of an odd number of gluons.
Gluons are responsible for holding the quarks together in protons!
The theory continues that at higher energy levels the a greater portion of each proton is involved with the repulsion represented through a greater cross sectional area and a greater number of gluons interchanged through the pomerons and odderons. Additionally, there is a higher probability for an odd number of gluons to be exchanged In this scenario, the governing quasiparticle is the odderon because the extra gluon is converted from energy into matter!
Until recently, we have never used the LHC at high enough levels to reflect the existence of these odderons. Below we will take a look at their data and I will help explain its significance.
The Experiment
For the experiment, the cross sectional area of the collision in millibarns (mb) was graphed vs the total momentum in electron volts. As I alluded to earlier, the cross sectional area is a good indicator for the type of quasiparticles involved as exchanging a greater number of gluons involves a greater portion of the protons. Here is their data:
If you focus your attention on the magnified region, the green data points collected by TOTEM are clearly following a different trend then the data collected by ATLAS! Additionally, the blue and orange lines the data appears to be following are the prediction for the cross sectional area involved for odderons and pomerons respectively!
Yet, the data lacks the consistency necessary to claim that we have actually detected any odderones. An excellent example of this dilemma was first presented to me by @lemouth. He is much more knowledgeable on the subject and I strongly recommend his blog to anyone who is enjoying this post.
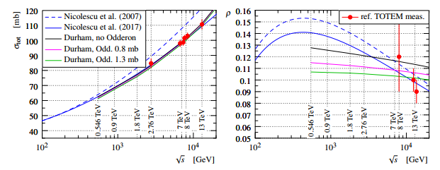
In this diagram, each of the five models presented by Nicolescu and Durham offer a possible trend we would like to fit TOTEM’s data to. Doing so will improve the standard model by identifying which of these models are the most accurate and refine our understanding of odderons. Unfortunately, as shown on the right hand side the data points do not follow anyone trend and their error bars cross through multiple.
If you have any questions or know anything you would like to add feel free to do so in the comments! Or if you have any suggestions on how I can improve I would love to hear them!
If you enjoyed my content, please consider upvoting to help others find my content or even follow me if you would like to hear more!
Finally, I am always available at thequantumknight658@gmail.com and on twitter https://twitter.com/QtumKnight?lang=en!
Work Cited:
http://totem-experiment.web.cern.ch/totem-experiment/
http://www.sci-news.com/physics/odderon-quasiparticle-05694.html
https://arxiv.org/pdf/1712.06153.pdf
https://arxiv.org/pdf/1711.03288.pdf
https://cds.cern.ch/record/2298154/files/CERN-EP-2017-335.pdf


This is a test comment, notify @kryzsec on discord if there are any errors please.
Being A SteemStem Member