ABORDAJE DIDÁCTICO DE LOS MECANISMOS DE FALLA FRÁGIL EN UNA COLUMNA DE CONCRETO ARMADO DESDE EL ENFOQUE DE LA INGENIERÍA SISMORRESISTENTE. PARTE III
Saludos a la comunidad científica de #steemit, en especial a la comunidad de #steemstem, quien por medio de la sub-comunidad de #stem-espanol apoya las publicaciones en nuestro lenguaje enmarcadas en las áreas de CIENCIA, TECNOLOGÍA, INGENIERÍA Y MATEMÁTICA. Un proyecto sin lugar a dudas multidisciplinario, del cual tengo el honor de ser colaborador del área de INGENIERÍA. Aprovecho de invitarte a que interactúes con nosotros a través de nuestro canal de discord: https://discord.gg/2nKSer. Sin más preámbulos, disfruta de la parte III de esta serie de artículos, encaminados en promover una cultura sismorresistente bajo el lema “educando más allá de los muros del aula”.
INTRODUCCIÓN
En esta oportunidad, vamos a estudiar cómo influye la separación del acero de refuerzo transversal (ligaduras) en el desarrollo de los diagramas de interacción “flexión-carga axial y corte” de una columna de concreto armado, complementando así las ideas disertadas en la referencia N°03, donde con el uso de estos mismos diagramas se profundizó en el efecto que tiene la disminución de la altura libre de deformación de la columna en cuestión, lo que da origen a la condición de columna corta, tema que fue abordado didácticamente en la Parte I de este post (ver referencia N°06).
Imagen N°01: ideas generales a estudiar
Fuente: @eliaschess333, año: 2019. Nota: esquema conceptual elaborado por el autor, con ayuda de las herramientas Microsoft PowerPoint y Paint.Las imágenes que se muestran fueron capturadas con mi dispositivo tablet VIT - T4000. La imagen resaltada por el recuadro rojo, es una captura de pantalla del programa Microsoft Excel. La imagen resaltada por el recuadro negro es una captura de pantalla del programa AUTOCAD 2010.
De acuerdo a lo que se aprecia en la imagen N°01, a través de la construcción de un modelo a escala, afianzaremos didácticamente el concepto de longitud de confinamiento, íntimamente vinculado con la separación del acero de refuerzo transversal, y que abre las puertas a los diferentes niveles de diseño que en la norma “FONDONORMA 1753:2006” se especifican. Son conceptos íntimamente vinculados, porque la longitud de confinamiento indica una zona del elemento estructural donde han de cumplirse ciertas condiciones especiales para la separación de las ligaduras para cada nivel de diseño, en los que se espera una determinada conducta de la estructura en el ámbito de esfuerzo-deformación, ante las cargas provenientes de condiciones de servicio y acciones extraordinarias, como las ocasionadas por un sismo. Afianzaremos como las exigencias normativas incrementan, cuando esta última condición entra en juego.
DELIMITACIÓN DE LA TEMÁTICA A ESTUDIAR
En esta publicación profundizaremos sobre dos enfoques que nos da “FONDONORMA 1753:2006” (ver ref. 01), en cuanto a longitud de confinamiento y espaciamiento del acero transversal en una columna de concreto armado. El primero de estos enfoques se caracteriza por una visión donde se concibe que las cargas externas a las que estará sometida la estructura, estarán gobernadas en esencia por aquellas provenientes de las condiciones de servicio; siendo así los criterios de espaciamiento de acero de refuerzo transversal regidos por el apartado 7.5.2 de la mencionada norma, dando paso al nivel de diseño uno (ND1).
El segundo enfoque se refiere, a que adicional a las cargas provenientes de las condiciones de servicio, como el peso propio de la estructura, las cargas variables asociadas al uso de la misma, esta estará sometida a acciones sísmicas; en tales casos la aplicación de las exigencias del capítulo 18 de “FONDONORMA 1753:2006” pasan a cobrar importancia, centrándonos en esta publicación en los apartados 18.8.5 y 18.4.5, abriendo así las puertas a los niveles de diseño dos y tres (ND2 y ND3) respectivamente.
Conviene señalar que estaremos tomando como referencia el modelo estructural de la parte II (ver referencia N°07) de esta publicación donde conocemos entre otros aspectos de importancia, el diagrama de interacción de la sección transversal de la columna de concreto armado, base para la incorporación del diagrama de interacción modificado, referido al elemento en cuestión. A continuación se plantean los objetivos de esta publicación, los cuales orientan los tópicos que estaremos desarrollando:
Objetivo General: estudiar la influencia del espaciamiento (s) del acero transversal (ligaduras) en una columna de concreto armado con el uso de diagramas de interacción “flexión-carga axial y corte”.
Objetivos Específicos:
1.- Estudiar la importancia de la longitud de confinamiento basados en los criterios normativos establecidos en “FONDONORMA 1753:2006”.
2.- Reflexionar sobre las consideraciones del espaciamiento (s) del acero de refuerzo transversal (ligaduras) para los distintos niveles de diseño según “FONDONORMA 1753:2006”.
3.- Elaborar los diagramas de interacción “flexión-carga axial y corte” para distintos valores de “s”.
ESTUDIO DE LA IMPORTANCIA DE LA LONGITUD DE CONFINAMIENTO BASADOS EN LOS CRITERIOS NORMATIVOS ESTABLECIDOS EN “FONDONORMA 1753:2006”
Cuando se proyecta una estructura con un enfoque sismorresistente, se hace con la idea de que esta va a experimentar daño como consecuencia de una incursión en el rango de comportamiento inelástico, lo que representa a la vez una forma de disipar la energía transmitida por el sismo. Como lo he señalado en anteriores publicaciones, se busca que este sea un daño controlado en el que predomine un comportamiento dúctil que aleje a la estructura de un colapso repentino (falla frágil). En torno a estas ideas, “FONDONORMA 1753:2006” establece una serie de niveles de diseño, cada uno de los cuales con sus respectivas exigencias que se traducen en parámetros mínimos que han de cumplirse, abordando en este tópico los concernientes a la longitud de confinamiento.
@eliaschess333 explícanos ¿a qué se refiere la longitud de confinamiento?
La longitud de confinamiento es una zona del elemento estructural, donde hay una mayor demanda de esfuerzos producto del sismo, y que típicamente se extiende en los extremos del mismo. En esta publicación el elemento estructural está representado por una columna de concreto armado, y en el siguiente recurso audio-visual afianzaremos las ideas asociadas a este concepto.
Video N°01: importancia de la longitud de confinamiento en una columna de concreto armado
Fuente: @eliaschess333, año: 2019. Nota: video elaborado por el autor con ayuda de las herramientas computacionales Camtasia Studio 8, Adobe Audition 3.0. Las capturas de video fueron realizadas con mi dispositivo Tablet VIT-T4000, y las mismas estuvieron a cargo de @monserratt3. Los esquemas conceptuales que se presentan fueron elaborados por el autor con las herramientas Microsoft PowerPoint y Paint.
Una vez comprendida la importancia de la longitud de confinamiento, y los casos en los que aplica, referidos específicamente a ND2 y ND3, estudiemos lo concerniente a la separación (s) del acero transversal.
REFLEXIONES SOBRE LAS CONSIDERACIONES DEL ESPACIAMIENTO (s) DEL ACERO DE REFUERZO TRANSVERSAL (LIGADURAS) PARA LOS DISTINTOS NIVELES DE DISEÑO SEGÚN “FONDONORMA 1753:2006”
Basado en lo señalado en el tópico anterior, los requisitos sismorresitentes aplican para los niveles de diseño dos y tres (ND2 y ND3), por lo que allí la mayor exigencia en cuanto a la separación del acero de refuerzo transversal se refiere. No obstante, vale reflexionar sobre lo especificado para el ND1, puesto que como dato de interés, el apartado 7.5.2 de la norma en estudio no establece un tope de longitud específica para lo que es la separación de las ligaduras, haciéndola depender de los diámetros de las barras longitudinales, transversales y de las dimensiones de la sección transversal del elemento. Tomando como referencia la columna de concreto armado de la parte II de esta serie de publicaciones, se tiene lo siguiente:
Imagen N°02: espaciamiento de acero transversal “s” para ND1

Fuente: @eliaschess333, año: 2019. Nota: esquema conceptual elaborado por el autor, con ayuda de las herramientas Microsoft PowerPoint y Paint.
Muchas veces presenciamos columnas que se detallan de esta manera, lo grave del asunto es que estos diseños se realicen en zonas de gran amenaza sísmica, donde el capítulo 18 de la norma debe prevalecer. En la siguiente imagen, se resume los principales criterios que allí se establecen en cuanto a separación del acero de refuerzo transversal.
Imagen N°03: espaciamiento de acero transversal “s” para ND2 y ND3

Fuente: @eliaschess333, año: 2019. Nota: esquema conceptual elaborado por el autor, con ayuda de las herramientas Microsoft PowerPoint y Paint.
Para una mejor comprensión de todas estas ideas, he decido preparar el siguiente recurso audio-visual, donde con la ayuda de un modelo a escala, reflexionaremos sobre la importancia del espaciamiento de las ligaduras en una columna de concreto armado.
Video N°02: reflexiones sobre la importancia del espaciamiento de las ligaduras en una columna de concreto armado
Fuente: @eliaschess333, año: 2019. Nota: video elaborado por el autor con ayuda de las herramientas computacionales Camtasia Studio 8, Adobe Audition 3.0. Las capturas de video fueron realizadas con mi dispositivo Tablet VIT-T4000, y las mismas estuvieron a cargo de @monserratt3. Los esquemas conceptuales que se presentan fueron elaborados por el autor con las herramientas Microsoft PowerPoint y Paint.
Una vez comprendida la importancia de la separación del acero de refuerzo transversal (ligaduras) de un modo conceptual, procedamos a cuantificarla con el uso de los diagramas de interacción “flexión-carga axial-corte”.
ELABORACIÓN DE LOS DIAGRAMAS DE INTERACCIÓN “FLEXIÓN-CARGA AXIAL Y CORTE” PARA DISTINTOS VALORES DE “s”
Los diagramas de interacción “flexión-carga axial y corte”, vienen a constituir una especie de grafico que se proyecta sobre el diagrama de interacción original de la sección. En esta oportunidad tomaremos como base el obtenido en la referencia N°05, para una sección de columna de concreto armado, la cual es ilustrada en las imágenes N°02 y N°02 . En este sentido, el diagrama de interacción “flexión- carga axial y corte” viene a estar referido al elemento en cuestión, por lo que es importante repasar la metodología que nos permitirá establecer los valores de carga axial y momento del respectivo diagrama; donde entran en juego aspectos normativos según “FONDONORMA 1753:3006”, y las ecuaciones deducidas en las referencias N°03 y N°04.
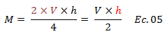
En este orden de ideas, en la referencia N°04 a través del análisis estático que se realizó al modelo estructural que estamos tomando como base en esta publicación, una de las ecuaciones obtenidas de mayor utilidad para la misma fue:
Por su parte, en la referencia N03, con otra metodología de análisis se llegó a la siguiente expresión:
Pero son expresiones diferentes @eliaschess333, ¿o son cosas mías?
Recordemos que en la referencia N°04, la carga lateral actuante en toda la estructura estaba representada por “P”, y en el extremo de una columna en particular por “P/2”, simbolizada dicha carga lateral con la letra “V”, es decir:
Por lo que al despejar “P”:
Y sustituir en la ecuación N°01:
Y ¿por qué en la ecuación N°02 aparece “lc” y en la ecuación N°05 aparece “h”?
Es cuestión de nomenclatura, ya que ambas hacen referencia a la altura de la columna. Sin embargo en esta publicación nos enfocaremos en la altura libre de deformación de la columna “Ln”, por lo que la ecuación para encontrar los momentos será:
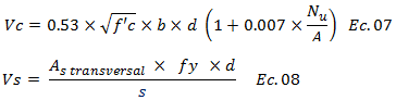
En la referencia N°07 se ilustra didácticamente cómo se determina el valor de “Ln”, el cual a grandes rasgos consiste en descontar la altura de la viga, a la altura total de la columna. En el video N°03 se repasan estas nociones. En lo que respecta al valor de cortante, término resaltado en color “azul” en la ecuación N°06, lo obtendremos con el uso de las siguientes relaciones:
Ambas ecuaciones fueron utilizadas en la referencia N°03 y las mismas son extraídas de los apartados 11.3 y 11.4.3 de “FONDONORMA1753:2006” respectivamente. Por lo que es válido el surgimiento de la siguiente interrogante:
@eliaschess333 ¿Qué es lo novedoso de esta publicación?
En esta publicación vamos a estar variando el valor de “s” (término resaltado en color “azul” en la ecuación N°08) de conformidad con las especificaciones para cada nivel de diseño, explicadas anteriormente (ver imágenes N°02 y N°03). Por su parte el valor de “Ln” (término resaltado en color “rojo” en la ecuación N°06) permanecerá constante. En la referencia N°03 la forma de trabajo fue invertida, es decir, se dejó contante “s” y se varió la altura libre de deformación de la columna, dado que se quería ejemplificar como la disminución de esta induce a mecanismos de falla frágil.
Cada uno de los componentes de las ecuaciones presentadas se explican en el video N°03, donde se detalla entre otras cosas el proceso de obtención de los diagramas de interacción “flexión-carga axial y corte”, con ayuda de la herramienta computacional Microsoft Excel, donde nos fundamentaremos en las ideas que se presentan en el siguiente esquema conceptual.
Imagen N°04: bases para la obtención de los diagramas de interacción “flexión-carga axial y corte”

Fuente: @eliaschess333, año: 2019. Nota: esquema conceptual elaborado por el autor, con ayuda de las herramientas Microsoft PowerPoint y Paint. Las imágenes resaltadas por los recuadros de color “rojo” corresponden a capturas de pantalla del programa Microsoft Excel.
Con base en las ideas presentadas en la imagen N°04, disfrutemos del siguiente video:
Video N°03: explicación didáctica de la obtención de los diagramas de interacción “flexión-carga axial y corte”
Fuente: @eliaschess333, año: 2019. Nota: video elaborado por el autor con ayuda de las herramientas computacionales Camtasia Studio 8, Adobe Audition 3.0. Las capturas de video fueron realizadas con mi dispositivo Tablet VIT-T4000, y las mismas estuvieron a cargo de @monserratt3. Los esquemas conceptuales que se presentan fueron elaborados por el autor con las herramientas Microsoft PowerPoint y Paint.
En la siguiente imagen se hace una captura de los diagramas obtenidos para cada caso de “s”, y los mismos sirven como base para el establecimiento de las conclusiones de este trabajo.
Imagen N°05: principales diagramas de interacción “flexión-carga axial y corte” obtenidos en el video N°03

Fuente: @eliaschess333, año: 2019. Nota: esquema conceptual elaborado por el autor, con ayuda de las herramientas Microsoft PowerPoint y Paint. Las imágenes resaltadas por los recuadros de color “rojo” corresponden a capturas de pantalla del programa Microsoft Excel.
CONCLUSIONES
A lo largo de esta serie de publicaciones, que se han subdividido para fines didácticos en tres partes, hemos resaltado ciertos aspectos conceptuales del diseño sismorresistente, cuya deficiencia puede conllevar al surgimiento de mecanismos de falla frágiles, representados por un colapso repentino, una vez la estructura es exigida a incursionar en el rango de comportamiento inelástico. Hemos centrado la atención en las columnas, aquel elemento estructural, que metafóricamente viene siendo como los pies de la edificación, por lo que su integridad, ante la ocurrencia de un sismo es trascendental. Esto abre las puertas al criterio columna fuerte-viga débil, el cual estaré abordando en futuras publicaciones. Por lo que ahora concierne, las conclusiones de mayor importancia son las siguientes:
1.- Los requisitos sismorresistentes, le dan mucha importancia al confinamiento del núcleo de concreto de la columna, especialmente en aquellas zonas de la longitud de la misma, que ante incursiones significativas en el rango de comportamiento inelástico estarán más comprometidas; estas zonas se ubican típicamente en los extremos del elemento, donde es posible el desarrollo de las rótulas plásticas.
2.- El adecuado confinamiento de estas zonas, logrado a través de una buena disposición del acero de refuerzo transversal (ver imágenes N°02 y N°03) contribuirá a que la columna esté alejada de mecanismos de falla frágiles, es decir, tenga un comportamiento dúctil, caracterizado por una adecuada incursión en el rango de comportamiento inelástico.
3.-El diagrama de interacción modificado (aquel referido al elemento estructural), en la medida que la separación de las ligaduras disminuye, se aleja del diagrama de interacción original de la sección, lo que es una forma de cuantificar, los beneficios que tiene el confinamiento para alejar a la columna de mecanismos de falla frágil.
4.- En la imagen N°05, se aprecia como para un espaciamiento de las ligaduras de “20 cm”, pero con una longitud libre de deformación de las columnas de apenas “30 cm” (COLUMNA CORTA), el área del diagrama de interacción de la sección se ve grandemente restringida, al punto de que para la condición de carga y momento (punto resaltado con el óvalo de color negro) la columna falla. Hecho que no ocurre en los casos donde la columna puede deformarse libremente.
Te dejo como reto querido lector, que cuando estés cerca de una construcción en concreto armado, pongas atención en la separación del acero de refuerzo transversal, y si te encuentras en una zona de elevada amenaza sísmica, verifiques que se estén cumpliendo los requisitos de separación del mismo. Es necesaria la promoción de una cultura sismorresistente, espero con esta serie de publicaciones, contribuir con mi granito de arena a ese fin. Escribió para ustedes:
FUENTES DE INFORMACIÓN CONSULTADAS
01.- NORMA VENEZOLANA. PROYECTO Y CONSTRUCCIÓN DE OBRAS EN CONCRETO ESTRUCTURAL. FONDONORMA 1753:2006
02.-NILSON ARTHUR. DISEÑO DE ESTRUCTURAS DE CONCRETO. DUODÉCIMA EDICIÓN. MCGRAW-HILL INTERAMERICANA, S.A.1999
LECTURAS RECOMENDADAS
03.- @eliaschess333 (2018). ESTUDIO DEL EFECTO DE COLUMNA CORTA EN EDIFICACIONES DE CONCRETO ARMADO, DESDE EL ENFOQUE DE LA INGENIERÍA SISMORESISTENTE. Disponible en: https://steemit.com/stem-espanol/@eliaschess333/estudio-del-efecto-de-columna-corta-en-edificaciones-de-concreto-armado-desde-el-enfoque-de-la-ingenieria-sismoresistente-con-el
04.- @eliaschess333 (2018). ANÁLISIS DE EDIFICACIONES DESDE EL ENFOQUE DE LA INGENIERÍA SISMORESISTENTE A TRAVÉS DE ESPECTROS DE DISEÑO VENEZOLANOS, SEGÚN COVENIN 1756-1:2001.Disponible en: https://steemit.com/stem-espanol/@eliaschess333/analisis-de-edificaciones-desde-el-enfoque-de-la-ingenieria-sismoresistente-a-traves-de-espectros-de-diseno-venezolanos-segun
05.- @eliaschess333 (2018). APRENDIENDO A CONSTRUIR EL DIAGRAMA DE INTERACCIÓN DE UNA COLUMNA DE CONCRETO ARMADO. APLICACIONES EN LA INGENIERÍA SISMORESISTENTE. Disponible en: https://steemit.com/stem-espanol/@eliaschess333/aprendiendo-a-construir-el-diagrama-de-interaccion-de-una-columna-de-concreto-armado-aplicaciones-en-la-ingenieria
06.- @eliaschess333 (2019). ABORDAJE DIDÁCTICO DE LOS MECANISMOS DE FALLA FRÁGIL EN UNA COLUMNA DE CONCRETO ARMADO DESDE EL ENFOQUE DE LA INGENIERÍA SISMORRESISTENTE. PARTE I. Disponible en: https://steemit.com/steemstem/@eliaschess333/abordaje-did-ctico-d-1550429801
07.- @eliaschess333 (2019). ABORDAJE DIDÁCTICO DE LOS MECANISMOS DE FALLA FRÁGIL EN UNA COLUMNA DE CONCRETO ARMADO DESDE EL ENFOQUE DE LA INGENIERÍA SISMORRESISTENTE. PARTE II. Disponible en: https://steemit.com/steemstem/@eliaschess333/abordaje-didactico-de-los-mecanismos-de-falla-fragil-en-una-columna-de-concreto-armado-desde-el-enfoque-de-la-ingenieria








Muy elaborado tu artículo, @EliasChess333. También está bien aplicado el HTML, por lo visto, ya que se visualiza bien en otros clientes más allá del de Steemit. Saludos y éxito!
This post has been voted on by the SteemSTEM curation team and voting trail in collaboration with @utopian-io and @curie.
If you appreciate the work we are doing then consider voting all three projects for witness by selecting stem.witness, utopian-io and curie!
For additional information please join us on the SteemSTEM discord and to get to know the rest of the community!
Thanks for the support @steemstem!
Saludos @eliaschess333, nuevamente nos deleitas con importante y didáctica información sobre la sismoresistencia y la falla frágil de una columna de concreto armado. Son muchos los detalles involucrados y el cumplimiento de normas es vital.
Estimado eliaschess333, interesante trabajado. Trabajo con estudiantes de Ingeniería Civil en materias como Tópicos Especiales de Ingeniería y me parece excelente su forma de abordar el tema... Exitos
Congratulations @eliaschess333! You have completed the following achievement on the Steem blockchain and have been rewarded with new badge(s) :
You can view your badges on your Steem Board and compare to others on the Steem Ranking
If you no longer want to receive notifications, reply to this comment with the word
STOPDo not miss the last post from @steemitboard:
Vote for @Steemitboard as a witness to get one more award and increased upvotes!