Absorción Óptica y Brecha de Energía en Semiconductores con Defectos
Efecto de los PDDA sobre las propiedades ópticas de semiconductores
Absorción Óptica y Brecha de energía en función de la temperatura
Saludos mis estimados amigos de la comunidad científica #stem-espanol
El estudio de las propiedades ópticas de semiconductores es básico para determinar el campo de aplicación de estos materiales en dispositivos optoelectrónicos, como sensores de radiación, diodos emisores de luz o celdas solares. En este artículo les presentaré el estudio de la absorción óptica y brecha de energía en función de la temperatura y en el siguiente artículo cerraré con la Cola de Urbach, Espectroscopía Raman y Absorción en el Infrarrojo en los semiconductores con PDDA CuGa3Te5 y CuIn3Te5.
Este artículo es una continuación del tema relacionado con la influencia de los Defectos en Semiconductores sobre sus propiedades estructurales, eléctricas y ópticas. Siendo una línea de investigación demasiado amplia debido a que se realiza una comparación de múltiples propiedades físicas y químicas, tanto en semiconductores sin defectos (CuInTe2) como en los materiales con pares de defectos donador-aceptador (PDDA), en este caso particular el CuIn3Te5, además del estudio de estas propiedades función de la temperatura en el rango desde 300 K hasta 10 K, por lo que la información que aporta a la Física del Estado Sólido es muy relevante.
Normalmente se utiliza un monocromador acoplado a un espectrómetro con variación de longitudes de onda que cubre el espectro electromagnético del visible, desde 0,7 ev hasta 5,0 eV. Además, se requiere el uso de un criostato de ciclo cerrado de gas Helio y detectores de radiación para este rango de energía. Veamos los espectros obtenidos al hacer incidir un haz de fotones sobre una muestra de caras paralelas, pulidas y con un espesor menor a 100 micrómetros.
Espectros de la caracterización óptica. Fuente: iamphysical
A partir de la transmisión óptica en función de la energía de los fotones incidentes se puede calcular el coeficiente de absorción óptica, dada por la ecuación insertada en la última gráfica.
Este procedimiento se aplica en cada espectro de absorción para cada una de las temperaturas, desde 300 K hasta 10 K. Se observa una variación de la absorción hacia energías menores que la de 300 K, posiblemente debido a la dilatación/contracción de la red cristalina.
Absorción óptica del CuGa3Te5 y CuIn3Te5. Fuente: iamphysical
Al bajar la temperatura, cercana a la del Helio gaseoso, el coeficiente de absorción óptica de los semiconductores CuGa3Te5 y CuIn3Te5, se observa un desplazamiento de cada curva hacia valores menores de energía. Este comportamiento es característico de los materiales semiconductores donde la brecha de energía se ve afectada con la variación de los parámetros de la red cristalina y la interacción electrón-fonón.
En esta sección se analiza la determinación de la brecha de energía y la variación de EG con la temperatura. Recordando que en este tipo de materiales con defectos, las transiciones entre la banda de valencia (BV) y la banda de conducción son permitidas y directas, tal como se observa en las siguientes figuras:
Método de Extrapolación para determinar EG. Fuente: iamphysical
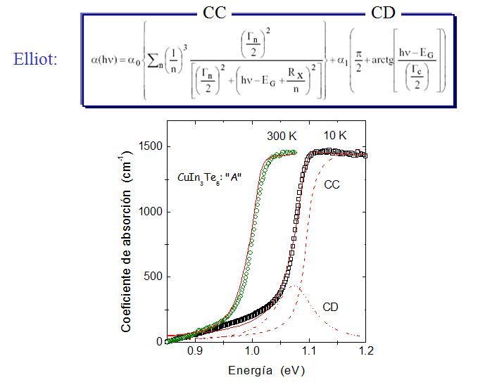
También existe una forma de determinar la brecha de energía con mayor exactitud, considerando la contribución del continuo y discreto del excitón que participa en las transiciones entre la BV y la BC. Este modelo es propuesto por Elliot, basado en el estudio realizado por Henneberger.
Modelo de Elliot para determinar EG. Fuente: iamphysical
Cada curva de absorción óptica se ajusta con el Modelo de Elliot y se desglosa con la contribución del pico discreto (CD) del excitón y la parte contínua (CC). Con este modelo se obtienen varios parámetros importantes: la energía de enlace del excitón, la brecha de energía y de manera indirecta se puede calcular la masa eficaz de electrones y huecos.
Si analizamos la variación de la brecha de energía con la temperatura podemos obtener información de la temperatura de Debye, con las ecuaciones empiricas de Manoogian-Woolley y de Cáceres-Rincón.
Variación de la brecha de energía con la temperatura. Fuente: iamphysical
Podemos discriminar las contribuciones de la Dilatación Térmica (D.T.) de la red cristalina y la Interacción electrón-fonón (I.e-f) que es la que domina en un 80% a esta dependencia con la temperatura.
Modelo de Passler para analizar EG vs T. Fuente: iamphysical
Con la aplicación de este modelo podemos obtener el valor de la energía promedio de los fonones ópticos hvc y la temperatura de Debye. La variación de EG entre 300 K y 10 K son 100 meV, aproximadamente.
Las transiciones electrónicas entre las bandas son directas permitidas, al igual que los compuestos ternarios sin vacancias. En una primera aproximación se concluye que la energía promedio de los fonones es ligeramente mayor que los compuestos 1:1:2.
- La influencia de los pares de defectos donador-aceptador sobre las propiedades ópticas a temperatura ambiente y en función de la temperatura se ven levemente afectadas, pero los defectos intrínsecos influyen en el valor promedio de los fonones, ya que involucra la participación de modos adicionales debido a estos defectos. En el siguiente artículo les presentaré la evidencia experimental de la aparición de estos modos de vibración de la red y su análisis teórico, mientras tanto estaré atento a sus comentarios.
Bibliografía y lecturas recomendadas:
○ Los Materiales Semiconductores
○ Absorción óptica y dependencia de la brecha de energía con la temperatura
○ Electrical and optical properties of CuInTe2
○ Band Gap Engineering
○ Optical Energy Gap
Seguimos consolidando la comunidad especializada en Ciencia, Tecnología, Ingeniería y Matemáticas, haciendo uso de la etiqueta #steemstem y de la aplicación SteemStem.io














Your post has been curated by the bitcoin myk project. Tokens are available for this account you can trade for steem at: https://steem-engine.com/. Join our curation priority list to earn more tokens by registering at:
http://www.bitcoinmyk.com/register/
Visit our discord at: https://discordapp.com/channels/523971711733858364/523971711733858366
Bitcoin MYK
admin
Register - Bitcoin MYK
This post earned 250 BTCMYK
Congratulations @iamphysical! You have completed the following achievement on the Steem blockchain and have been rewarded with new badge(s) :
You can view your badges on your Steem Board and compare to others on the Steem Ranking
If you no longer want to receive notifications, reply to this comment with the word
STOPTo support your work, I also upvoted your post!
Vote for @Steemitboard as a witness to get one more award and increased upvotes!
Llegaré a 90 publicaciones y algo más.
Excelente explicación profe.
Es uno de los objetivos de esta comunidad, llegar al mayor número de lectores y que les sirva la información que compartimos.
@tipu curate
Gracias
Upvoted 👌 (Mana: 0/25 - need recharge?)
This post has been voted on by the SteemSTEM curation team and voting trail. It is elligible for support from @curie and @minnowbooster.
If you appreciate the work we are doing, then consider supporting our witness @stem.witness. Additional witness support to the curie witness would be appreciated as well.
For additional information please join us on the SteemSTEM discord and to get to know the rest of the community!
Thanks for having used the steemstem.io app and included @steemstem in the list of beneficiaries of this post. This granted you a stronger support from SteemSTEM.
El apoyo a las publicaciones de interés científico seguirán ocupando un lugar especial en steemstem y stem-espanol. Gracias por seguir apoyándonos