My own research on Steem: leptoquarks at the Large Hadron Collider
I had very little time to be present around Steem since half a year due to my research activities that were quite intense. As I am currently stuck at home due to the coronavirus, I finally got time to blog and start sharing those results.

[image credits: Steve Jurvetson (CC BY 2.0)]
This post concerns my latest research article in which, with collaborators, we performed the most precise calculation of leptoquark production rates at the Large Hadron Collider (LHC).
However, before digging into this, let’s first discuss what leptoquarks are and why they are interesting beasts.
Leptoquarks in a nutshell
In the Standard Model of particle physics, the structure of matter requires two classes of fundamental entities. Atomic nuclei are made of protons and neutrons, than are themselves made of quarks and antiquarks. In order to get to atoms, one additionally needs what we call leptons (electrons for instance).

[image credits: burlesonmatthew (Pixabay)]
There is however no option for one (anti)quark and one lepton to interact simultaneously.
This is where leptoquarks change the game: leptoquarks are hypothetical particles interacting together with exactly one lepton and one quark.
They are strongly motivated theoretically. They indeed appear, for instance, as soon as one tries to unify the fundamental interactions (see e.g. here), or when one invokes composite models (see e.g. here).
In the recent years, experimental facts have reinforced this motivation.
[image credits: Fermilab ]
Data and theory however disagree for several decades (see e.g. here), and leptoquarks are known to potentially save the day.
On the other hand, measurements of the decay properties of various B-mesons at several independent experiments have exhibited anomalies (see e.g. here). Once again, leptoquarks can cure the issue!
Leptoquark production at the LHC
For the reasons sketched above, leptoquarks are widely searched for by the ATLAS and CMS experiments at the LHC. So far, there is no sign of them and limits on their viability are imposed.
Those limits however rely on theory predictions ignoring one important fact: leptoquarks can interact simultaneously with one quark and one lepton. Instead, only the fact they were strongly-interacting particles was accounted for.
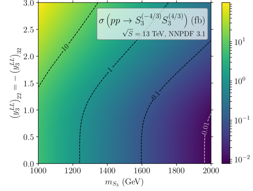
This is what my latest article is about: the consistent inclusion of these ignored interactions in the predictions, and the improvement of their precision. This is illustrated in the figure below.

[image credits: arXiv]
The x-axis consists in the leptoquark mass and the y-axis in the strength of the leptoquark interaction with quarks and leptons. The colour code represents the correct leptoquark production rate at the LHC: yellow means copious and blue means rarer.
If the leptoquark-quark-lepton interaction can be ignored, the dashed lines associated with a constant rate should be vertical lines. Our results however show this is clearly not the case, the impact being even larger when those interactions are very strong (upper part of the figure).
Interestingly, this is those are the relevant configurations in the light of the experimental anomalies.
Take-home message: precision matters
Leptoquarks are hypothetical particles well motivated both theoretically and experimentally.
In my latest research article, we have achieved the most precise predictions for their production at the LHC, fixing issues ignored up to now. This will yield a better exploitation of LHC data, allowing for the extraction of more robust conclusions from the corresponding experimental searches.
PS: This article has been formatted for the steemstem.io front-end. Please see here for a better reading.
SteemSTEM
SteemSTEM aims to make Steem a better place for Science, Technology, Engineering and Mathematics (STEM) and to build a science communication platform on the blockchain.
Make sure to follow SteemSTEM on steemstem.io, Steemit, Facebook, Twitter and Instagram. Please also consider supporting our witness (@stem.witness).
Shared on Twitter and Facebook. Please consider retweeting to your Twitter followers or sharing with your Facebook audience.
Also, please consider following Steem Shares on Twitter and Liking Science and Technology on the Steem Blockchain on Facebook.
I have no Twitter account but I have reached you out on Facebook! Thanks for sharing.
You're welcome, and thank you for the follow on facebook! As described here (or here for steemstem.io), My goal is to get Steem posts in front of eyes on other platforms, so all help is appreciated.
FYI, I also included your post in today's Science and technology digest. Thanks for the write-up. I enjoyed reading it! Hope I did an ok job summarizing.
We used to do something similar from the steemstem facebook, twitter and instagram account. but this is too much work for the size of our team :(
Hello @lemouth,
I hope you continue to be well. It seems we are all ensnared one way or another in this pandemic. Let's hope your positive attitude is universal :)
As for your post: thank you! I actually remember muons (vaguely) from a previous post. That's the nice thing about reading this...pick up vocabulary and a broader understanding of research (and the universe). I'm impressed by the predictive nature of leptoquarks. As hypothetical entities, they gain a little more credibility with this (in my eyes, anyway).
It's nice to see you here.
Good health to you and your family.
AG
I still have zero symptom, so so far so good. However, the incubation period is of about 14 days. I am not there yet (I came back from Korea on Feb 21st). Still a week to go. Let's see how this evolves. For now, the entire family is quarantined at home (we prefer to avoid being a vector if possible).
Many particles are highly motivated but escape direct detection. Like dark matter for instance. In another on-going project, collaborators and I investigate a model in which we have both leptoquarks and dark matter. In this way, one unique model to cure many problems of our description of the universe.
I hope you and your family come out of quarantine with a clean bill.
For now, it is all good :)
My husband is interested in 1 of 3456789004215789 Steem things I tell him about. This is one. Xx Sent him the article
Thanks a lot for sharing!
I am happy if my article could interest him. In case of questions, you can tell him he is free to ask. I will be super happy to answer anything :)
Wait what... do you HAVE coronavirus or is it limiting travel?
I may have it. We still don't know. For now, I have zero symptom but the 14-days quarantine period is not over. Therefore, yes, it consists in limiting travel (I stay home with the family,, confined, for safety measures).
I went to Korea on Feb 11th (before the coronavirus explosion) and left on the 21st, just before things got crazy. Therefore, the chances for having it are not small... I was in Seoul where the number of cases start to rise (and the dates match with the period of my visit).
Oh gosh. Well, glad you quarantined yourself!!! Is the whole family quarantined with you? At Bangkok airport... very, very quiet here. Enroute to Delhi then UK. Be interesting to see where this goes. I don't fancy being confined to the UK if they shut down Europe!
Yes, we self-decided to proceed that way, for the greater good. This being said, I still have no symptom.
When I came back form Korea, the airport was actually incredibly calm, and the flight was mostly empty. The coronavirus is doing a lot for the planet, ironically...
I was supposed to go lecturing in India on Wednesday, but I had to cancel the flight. One can notice the stupidity of Lufthansa here: I only have a message from the university asking me to stay in quarantine for 14 days, but they want me to go to see the doctor to get a medical certificate to be allowed to cancel the flight without any charge. They definitely did not get it...
Hi, I hope you are well.
Are you still in China?
Take care, please
SALUDOS DESDE VENEZUELA
SALUTATIONS DU VENEZUELA
Greetings from Venezuela
I have actually never been to China. I went instead to Korea on Feb 11th (before the Coronavirus explosion) and left on the 21st, just before things got crazy. As a result, I am confined at home and work remotely (as is the family). It is better in order to avoid spreading the virus.
;-)
Sorry to hear that the coronovirus is keeping you from your work at the moment
That is fine, please don't worry. Strictly speaking, I am still working, but from home, as quarantine does not mean vacation.
On Monday, I will experience lecturing a black-board-style lecture without a black board... We can adapt ourselves for the common good :)
I appreciate your description of the x and y axes on the graph of strength of interaction and leptoquark mass. If you don't mind me asking, could you explain the units and symbols for the y axis? What do the subscripts and superscripts mean?
Sure I can do that :) Thanks for asking! Any question is appreciated.
There are several classes of leptoquarks (something that I didn't mention in this post). The S3 one consists in one of them. The '3' means that they come as triplets of particles (with different electric charges given as the superscript) and dictate how the interact through the weak interactions.
Now let's go back to your question and the y-axis. The '3' as a subscript simply connect it to the interaction of the S3 leptoquark. The indices indicate which quark of the Standard Model and which lepton the S3 leptoquark interacts with. Does it clarify?
In the natural system of units for particle physics (hbar = c = 1), the y interaction strength is dimensionless.
Yes, that helps clarify. Thank you!
You are very welcome!
This post has been voted on by the SteemSTEM curation team and voting trail. It is elligible for support from @curie and @minnowbooster.
If you appreciate the work we are doing, then consider supporting our witness @stem.witness. Additional witness support to the curie witness would be appreciated as well.
For additional information please join us on the SteemSTEM discord and to get to know the rest of the community!
Thanks for having used the steemstem.io app. This granted you a stronger support from SteemSTEM. Note that including @steemstem in the list of beneficiaries of this post could have yielded an even more important support.
Congratulations @lemouth! You received a personal award!
You can view your badges on your Steem Board and compare to others on the Steem Ranking
Do not miss the last post from @steemitboard:
Vote for @Steemitboard as a witness to get one more award and increased upvotes!
Hehe, that's cool, HEP hitting the chain at last!
Hi! I used to write HEP posts for several years here. However, I left that chain (with many others) a month ago, roughly. Feel free to reach us out on Discord for more information!
Hi again Benjamin, unfortunately Discord doesn't let me login (apparently I can't use my account because I use my account). But I'd like to find out more so I hope it's okay if I send you an email.
Can you please try the chat, or our FaceBook account?
Sure, thanks!
I wish you still posted. The last time I interacted with this account was in high school. Coming back to read these posts and reflect on my old blogs have been a hoot. Hope you're doing well and thank you for all the constructive criticism!