Pinning down electrically-charged dark matter
Dark matter is one of the greatest mysteries of particle physics. Standard cosmology tells us that it should exist, but it still evades direct detection on Earth.

[image credits: Illustris Collaboration (CC BY-SA 4.0)]
We consequently have very little information on the nature of dark matter, so that it could be mostly anything physicists may dream of (after accounting for various experimental constraints).
In particular, the dark matter mass can range from one billionth (or even less) of the proton mass to macroscopic values (such as a planet mass).
And this is a practical problem.
One indeed needs to rely on different techniques to track it on Earth, depending on the considered mass range.
Tracking dark matter on Earth
The idea behind dark matter direct detection on Earth relies on the dark matter wind going through our planet. The existence of this wind implies that dark matter particles will go through any detector and possibly leave some signature in there.
One of the golden option to explain cosmology with dark matter consists in WIMPs. Those are particles of masses of about 10-1000 times the proton mass that weakly (i.e. rarely) interact with normal matter.

[image credits: SLAC]
Once in a while, a WIMP is expected to hit one of the constituents of a potential dark matter detector, that then recoils. Such a recoil being recorded, physicists can conclude about what happened and reconstruct the dark matter properties.
However, dark matter could also be much lighter and not energetic enough to generate any recoil. In this case, its density has to be much larger to explain cosmology, so that combined effects of the more packed dark particles could be used for detection.
But dark matter could also be quite different. Other techniques may help here.
Millicharged dark matter
By definition, dark matter does not interact electromagnetically and is electrically neutral. However, in theories featuring an entire dark sector with many dark particles and forces, dark matter can be millicharged. It has in this case a tiny electric charge of about 10-7-10-14 times the electron charge.

[image credits: arxiv ]
In a recent publication, a novel way to detect millicharged dark matter has been proposed.
The dark matter wind blowing in the Milky Way (the horizontal arrows on the left of the figure) blows on a deflector (the sphere on the left in the figure).
Such as device yields electromagnetic currents (in blue between the two spheres) whose magnitude is proportional to the dark matter electric charge. Those ‘millicurrents’ being thus of a tiny magnitude, they rarely induce any interaction so that they could penetrate an electromagnetic shielding.
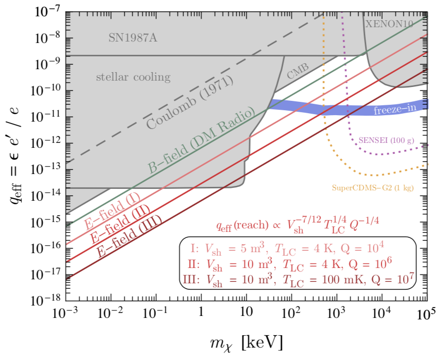
This is the key of the proposal: the millicurrents could penetrate a detector shielded from any ambiant radiation and leave some signal in there (the rightmost sphere on the above figure). The figure below depicts the expected sensitivity on dark matter.
[image credits: arxiv ]
The y-axis represents the value of the dark matter electric charge (in terms of the electron charge), and the x-axis its mass (511 keV corresponds to the electron mass).
The grey areas are excluded by current experiments, whilst the dotted lines represent the sensitivity of several future experiments. Using the setup described above provides sensitivity to the area above the diagonal red lines.
Take-home message
Dark matter could possess a tiny electric charge. Current experiments can in principle probe this idea, but in a quite limited fashion (the grey areas on the last figure). In this post, I have discussed a new proposal relying on electromagnetic deflectors and shielded detectors to improve the sensitivity to this class of dark matter secnarios, as visible from the red lines in the above figure.
As the dark matter nature is unknown, physicists must make sure to cover all options! Another one has been considered here…
PS: This article has been formatted for the steemstem.io front-end. Please see here for a better reading.
SteemSTEM
SteemSTEM aims to make Steem a better place for Science, Technology, Engineering and Mathematics (STEM) and to build a science communication platform on Steem.
Make sure to follow SteemSTEM on steemstem.io, Steemit, Facebook, Twitter and Instagram. Please also consider supporting our witness (@stem.witness) or delegating to @steemstem for a ROI of 65% of our curation rewards.
Is this frustrating, to try to prove the existence of something, when you lack complete confidence that it indeed does exist? Or at least, you can't, as a scientist, assert confidence even if in your gut you feel it does.
It's a fascinating hunt. I hope I'm around when the proof, or lack of proof, is finally produced. Wouldn't it be something if you were a part of that final answer :) But I guess, in a way, everything you're doing already makes you a part.
This discussion had me trying to figure out the difference between cosmology, phenomenology and theoretical physics. It seems (from what I just read) these are all part of the same endeavor?
Thanks, @lemouth, for another painless physics lesson :))
We look after the unknown. We may find it or not. This is the entire story of my life. Why we may have some gut feelings about this or that, this however worths nothing until proved correct.
Me too! I am now working on something interesting: trying to get some explanation for some weird feature in LHC data that does not break everything else. The second part of the sentence is currently the tricky part of the exercise ;)
Theoretical physics is very broad: it ranges from quantum gravity to biophysics. It consists in the fundamental and microscopic modeling of various phenomena, trying to understand how they work. Measurements come after (this is more for more experimental physics). Cosmology is a branch of physics, dedicated to what is going on in the cosmo. Finally, phenomenology may be seen as a part of theoretical physics, trying to concretise predictions to be confronted to data.
I hope this clarifies.
You're so patient! Yes it does.
I want to thank you for the work you did during the Hardfork 'blackout'. It was reassuring to see you on the job, and to check on your messages. Can't imagine the work involved.
Steemit doesn't feel so friendly these days, but it feels just fine on SteemSTEM.io.
It has been very interesting to read this discussion between you two. It's short, but filled with information and insights. It's interesting how one finds parallels to one's work in different fields. Here on Steemit, it has happened to me repeatedly. And from fields I would never expected. Cartography is the first one that comes to mind!
I was particularly drawn to @lemouth's first couple of lines:
It hits home :)
Thank you, you two!
Oh, Abigail,
A gift to find your message this morning. I look for the bright spots on Steemit these days. And there you are, one of the brightest.
What a privilege, to engage with you and @lemouth.
❤ 😘
SteemSTEM is a bright spot ^^
Neon bright :)
Somehow, science is science, no matter what branch we talk about :)
Cartography... Where is thus @lordneroo? (your comment made me thinking about him).
I did my best with the family, traveling, etc... This was actually tough, but I managed. The hardest part was the information coming to me, that were arriving delayed (but at least they were transferred in some way).
I'm familiar with energy levels like electron volts being chemical reactions. Mega-electron volts being nuclear reactions. I guess giga-electron volts being degenerate matter reactions, or something? I don't know if I have those scales correct.
On the other hand, what would a milli-electron volt represent? I guess there's nothing in normal every-day life that would help us wrap our heads around such small scales of energy levels.
In particle physics, we work in a well-adapted system of units. The speed of light is taken equal to 1 and Planck's constant is also taken equal to 1 too. In this framework, the eV unit can also be used for the masses of the particle.
511 keV (511.000 eV) corresponds to the mass of the electron, and 1 GeV (or 1.000.000.000 eV) is the mass of the proton. The heaviest of all known particles, the top quark, has a mass of 175 GeV (i.e. 175 protons).
In LHC collisions (13 TeV, or 13.000 GeV, per collision), it is quite common that particles with energies of dozens or hundreds of eV are produced. The energy is however provided mainly under the form of kinetic energy.
Does it clarify?
Let's now move on with the second part of the comment.
Here, if you check the last figure, we consider electric charges of 10-18 to 10-7 times the charge of the electron. There is nothing like that in our everyday life, since anything charged has a charge given by an integer number of electron charges. How is this possible?
Here, the way the dark particles are sensitive to electromagnetism comes from another source (not their electric charge that is in fact zero). The reason is that the dark forces and the visible forces almost talk with each other. The "almost" being very close to zero. Therefore, dark matter will be fully sensitive to the dark forces, and tinily sensitive to electromagnetism by virtue of the small connection between the dark and visible world. More details can be found on this old post of mine (especially the last paragraph).
Do not hesitate to come back to me if you need further pieces of information.
@lemouth, Dark Matter is there but many don't know how to define it or explain it because it's surrounds with mystery aspects. And there is so much to find yet.
Posted using Partiko Android
We do not know at 100% whether dark matter is there. There are models in which gravity is modified and that are totally valid (i.e. not excluded). I however agree with the fact that the dark matter option is the one associated with the strongest evidence, although it is indirect.
And indirect leads to the mystery path and here research part becomes more interesting.
The less we know about it, the more exciting it is indeed for our imagination :)
That's true.
Thanks again for shedding a bit of light about the darker parts of science ;)
As always, the pleasure is for me: regardless the Steem price and weather, I will always share :)
PS: Let's hope dark will become brighter soon enough!
Love to read knowledgeable blog.
Wow, cool!
Isn't it? :)