Searching for the North (or the South) pole at CERN
My researcher life is currently getting calmer, as announced in my last post, so that I have more time for my own blog and SteemSTEM. Today, I decided to focus on science communication (in the field of particle and astroparticle physics) and discuss some recent results of the MoEDAL experiment, one of the experiments being held around the Large Hadron Collider (the LHC) at CERN.

[image credits: Luc Viatour (CC BY-SA 3.0) ]
As said many times, there are good reasons to believe in the existence of new phenomena in particle physics (please see here for more information).
The MoEDAL experiment has been designed to track down two classes of exotic objects that could unravel the existence of such new phenomena: very massive stable particles and magnetic monopoles.
If these exotic objects exist, there is potentially a chance to produce them at the LHC. The MoEDAL experiment has been designed by relying on this hypothesis, and to trap these monopoles and massive stable particles for further studies using unconventional methods (ultra fast scanning microscopes, aluminium traps, detector sensitive to the faintest light).
This setup gives its name to the experiment: MoEDAL is the acronym of Monopole and Exotics Detector at the LHC.
Magnetic monopoles?
In order to understand what a magnetic monopole is, it is good to go back to the concept of unit of electric charge. It serves to quantify the charge of any (macroscopic or microscopic) object.

[image credits: ESO/L. (CC BY-SA 4.0) ]
For instance, a proton has an electric charge of +1, an electron of -1 and an uranium nucleus of +92. In addition, there are neutral objects with an electric charge of 0, like a neutron or matter (that is in general composed of charged constituents so that the total charge vanishes).
Magnetism is however different. There is no unit of magnetic charge. A magnet has two poles: a South and a North pole. If one cuts a magnet into two pieces, one gets two magnets with two poles again. And if we continue to reach the elementary constituents of the initial magnet, they all have two poles.
What we call a magnetic monopole is in contrast a single magnetic pole. Whilst magnetic monopoles are easy to theorize, their presence even rendering the fundamental equations of electromagnetism more elegant, they have never been observed and are thus actively searched for.
Magnetic monopoles at the LHC
Monopole are predicted by many theories extending the Standard Model of particle physics. They are characterized by a (very large) mass, a spin and a fundamental magnetic charge. Their properties imply that they can be copiously pair-produced (2 is better than 1) in a very energetic environment such as at the LHC, and each produced monopole is quite energetic. But how to detect them?

[image credits: @pab.ink]
Monopoles can easily ionize matter. They make use of a fraction of their energy to break neutral matter into charged components. And by easy, I really mean it. A monopole can ionize matter a few thousands times better than a proton.
Once produced at the LHC and reaching the MoEDAL detector, monopoles interact with the detector material, creating a bunch of charged particles that leave observable tracks. In the process, monopoles get less and less energetic, so that at the end of the day, they have so few energy left that they are trapped in MoEDAL. MoEDAL can then be scanned afterwards to verify whether anything is trapped inside.
The newest results
Last March, the MoDEAL collaboration released new results. They have tried to search for monopoles of different fundamental charges, different masses and different spins. The findings are all negative. Nothing has been found after scanning every single bit of the detector.
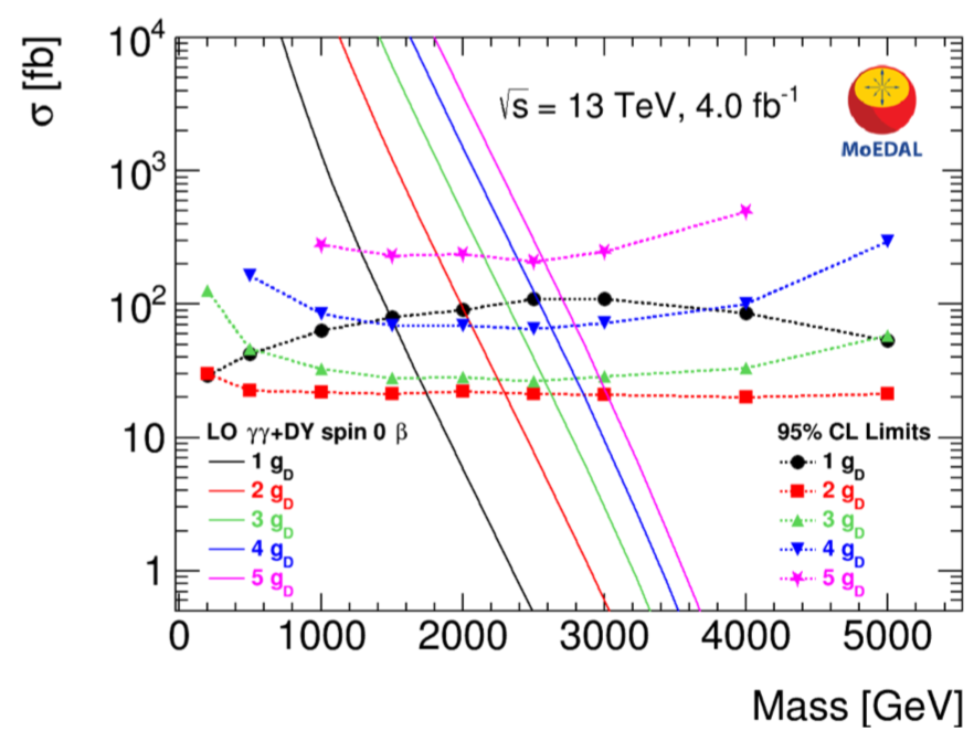
As a consequence, limits can be set on the properties of the monopoles, like in the figure below (for the case of spin-zero monopoles).

[image credits: arXiV]
In the figure, constraints are derived as a function of the monopole mass (the x-axis). I recall that a monopole of 4000 GeV means that we have a beast that weights as much as 4000 protons. For the sake of the comparison, the heaviest known element contains 118 protons. The y-axis represents the monopole production rate given for different fundamental magnetic charges (the 5 color codes, the pink being the biggest charge).
The figure then exhibits solid and dashed curves. The solid curves represent theory predictions for different fundamental magnetic charges, whilst the dashed ones are the limits derived from the non-observation of any monopole signal in MoEDAL.
Cases where predictions are larger than (or above) limits correspond to situations where one predicts so many monopoles that they could not escape detection. In other words, those scenarios are today excluded by the non-observation.
Inversely, cases where predictions are smaller than (or below) limits correspond to situations where one predicts few enough monopoles that it makes sense that we have not observed anything yet. Those scenarios are thus still allowed.
Summary
With this blog post, I am officially back to Steem with science. I discussed recent results of the MoEDAL collaboration, the scientific article being available here.
MoEDAL is actively searching for magnetic monopoles at the Large Hadron Collider. Those particles can be seen as elementary magnetic charges, i.e. a single North or South magnetic pole. However, none of them has been observed so far, so that constraints can be imposed on their existence.
The MoDEAL collaboration has investigated many theoretical setups, and its results consist in the most stringent and up-to-date bounds on monopoles. In practice, the existence of monopoles as heavy as 2000—4000 protons is forbidden. The monopole hypothesis is however not excluded, as there is nothing that prevents monopoles from being heavier than the current limits.
SteemSTEM
SteemSTEM aims to make Steem a better place for Science, Technology, Engineering and Mathematics (STEM) and to build a science communication platform on Steem.
Make sure to follow SteemSTEM on steemstem.io, Steemit, Facebook, Twitter and Instagram to always be up-to-date on our latest news and ideas. Please also consider to support the project by supporting our witness (@stem.witness) or by delegating to @steemstem for a ROI of 65% of our curation rewards (quick delegation links: 50SP | 100SP | 500SP | 1000SP | 5000SP | 10000SP).
What a delight to read. As you probably know, I'm a "humanist"--that is, my formal training is in liberal arts, not science. I not only understood every word you wrote, but I believe I understand the implications. Thanks for building a bridge between theoretical physicists and non-scientists, like me. I was thinking while I read your article of Becquerel and the Curies. Of the excitement at the end of the 19th century that revolved around investigations of magnetism and radioactivity. Those science pioneers also looked for 'footprints', for proof that something was there, though they could not directly observe it. You must have the same sense of being on the threshold of something great, of something that will change our understanding of matter, and the universe.
BTW, your refrigerator cartoon had me laughing out loud :)
Thanks a lot for this comment. Finally a feedback: you made my day! Really (I was so sad to get barely no reaction to my post).
I am trying to make things easy to understand by anyone, but sometimes, I (wrongly) assume readers know a few things. Do not hesitate, in the context of any of my posts, to ask questions and require clarifications on any single word I wrote. Really. I will take all the time it needs to properly answer and make things clear(er).
Physics/chemistry at that time was something. This is where modern physics started, somehow. Today, we know we are also at the beginning of something, We have good reasons to believe in this, but we have only a few (very mild) signs of novelties up to now.
I hope I will see something know during the time I still have on this planet :)
I know the feeling...we work so hard on a post. We're communicating. And nobody answers. But usually it just means people are busy. This article hit home for me because a few years back I went through a book writing phase. I wrote a couple of small books, for young people--one on Marie Curie and one on the basics of radioactivity. I think I wrote because I wanted to learn. I didn't know anything about the subject when I started.
What a time those science pioneers lived in. I get the same excitement in your piece. I'm sure Marie Curie, Pierre, all of them had the thought you have: what comes next? Will it be in my lifetime?
I will ask questions. Thank you for the invitation.
The "what comes next" question is somehow always valid, regardless of the epoch :)
If there's no unit to measure magnetic charge, does it mean that all magnets are capable of producing the same charge? Or is it modified by factors like mass?
By the way, it's amazing how you explain such complicated topics in a way that pretty much anyone can understand them!
Posted using Partiko Android
This sentence may be slightly misleading, I agree.
What I meant is that there is on fundamental magnetic charge. In electricity, one takes the charge of the electron for instance, and we can multiply it by integer numbers (except for quarks for which we need rational numbers) to get the charge of any object. In magnetism, there is no such a quantity. Every single magnetic object is always a dipole: it always have two poles, a North and a South pole. However, the magnetic field produced by a magnet will depend ion the properties of the latter (for instance its magnetic moment that itself depends on other particle properties like its spin).
Thanks for your nice comment by the way :)
Got it now! Thank you for clarifying n_n
Posted using Partiko Android
You are welcome!
I'm looking forward to reading some articles on these subjects. ^^
In French I assume? :)
Of course!
Later during the week end then. I will try! ^^
Congratulations @lemouth! You have completed the following achievement on the Steem blockchain and have been rewarded with new badge(s) :
You can view your badges on your Steem Board and compare to others on the Steem Ranking
If you no longer want to receive notifications, reply to this comment with the word
STOPVote for @Steemitboard as a witness to get one more award and increased upvotes!
Congratulations @lemouth!
Your post was mentioned in the Steem Hit Parade in the following category:
Hi @lemouth!
Your post was upvoted by Utopian.io in cooperation with @steemstem - supporting knowledge, innovation and technological advancement on the Steem Blockchain.
Contribute to Open Source with utopian.io
Learn how to contribute on our website and join the new open source economy.
Want to chat? Join the Utopian Community on Discord https://discord.gg/h52nFrV