Quantum Teleportation: The Key To Human Teleportation ?
We all have watched the all-time blockbuster Hollywood science fiction, Interstellar. The scene of the space travelers teleporting from one location to another really mesmerizes us. Teleportation has been a vital part of ancient myths. But, Is human teleportation a possibility? Will one day I(or rather my grandchildren) travel from his apartment to a diametrically opposite location on earth in a fraction of a second? Well yeah!! there is a possibility. Won't you love to know, "How"?

Quantum Mechanics
You might be wondering why I jumped suddenly from Teleportation to Quantum Mechanics, the weirdest thing that humanity has ever developed. Well, it is because Quantum Mechanics holds the potential to finally lead us to Human Teleportation. Yeah!! you heard it right.
Quantum Mechanics is a puzzle that nobody understands. It is so counter-intuitive that even the bunch of its developers didn't have the clue, what it has to do with reality. For this reason, Richard Feynman, the architect of the famous Quantum Electrodynamics, said,
If you think that you understand Quantum Physics, you don't understand Quantum Physics.
Quantum Mechanics counters various axioms of philosophy. For example, according to Quantum Mechanics before being observed, a matter doesn't possess any definite physical properties like position, momentum etc. It is only after the measurement that it materializes and its physical properties become a definite reality. Before the measurement, it is everywhere and nowhere at the same time. It can only be described in terms of probability. If we have to accept that Quantum Mechanics is right, then, in the night sky, the moon is almost everywhere until you look at it. It is only when you look at it, it appears suddenly at one location.
Yet another implication of Quantum Mechanics is that it is not possible to measure the position and momentum of a microscopic particle to an arbitrary precision which is known as the Heisenberg's Uncertainty Principle. If someone measures the position of a particle he disturbs the particle and changes the momentum of the particle and vice versa. Hence, it is impossible to measure these two properties simultaneously with arbitrary accuracy.
Yet Quantum Mechanics has opened a wide variety of modern day technologies that are used for various application ranging from our cellphone to our PC to large medical equipment and where not? It is for this reason Quantum Mechanics is mysterious.
Quantum Entanglement
I am here to discuss Quantum Entanglement because what follows in the next section needs a good base of Quantum Entanglement. It was Einstein who was very discontented with the probabilistic interpretation of reality in Quantum Mechanics. He said that the moon is exactly at the same position even if we don't look at it. We all know the famous debate between Einstein and Neils Bohr, the strong believer of probabilistic interpretation of quantum mechanics. Einstein rejected the idea by saying, "God Does Not Play Dice". To it, Bohr replied, "Stop Telling God, What to Do".

Immediately this probabilistic idea got the support of most of the eminent physicists of that time. But Einstein held firm in his position. He was a different kind of genius of unparalleled wisdom and intuition. He said that even though the mathematics Quantum Mechanics is extremely successful in describing various natural phenomena, the interpretation of Quantum Mechanics is not satisfactory. He believed that something is missing in Quantum Mechanics. Although Einstein was proved wrong at that time, today, physicists are starting to realize that perhaps Einstein was right.
What Einstein did to counter the idea of Quantum Mechanics is that he came up with an idea in 1935(but it would later strike himself back). Einstein's opponents had used the Heisenberg's Uncertainty Principle against him. With this new idea Einstein gave a strong argument that position of a particle can indeed be measured without disturbing the particle. Einstein along with Boris Podolsky and Nathan Rosen discovered a combined state of two particles known as the Einstein-Podolsky-Rosen state or simply the EPR state. In this state, the quantum wave function of one particle cannot be described independent of the other particle. This phenomenon is known as the Quantum Entanglement.
Hence, any action on one particle has an immediate effect on the other particle no matter what distance they are apart from each other, which according to Einstein is not possible, as for that there should be something that carries the information about the measurement from one particle to the other immediately(faster than light) which contradicts Einstein's Special Relativity.

Einstein, Podolsky and Rosen realized that Entanglement is an inherent result of Quantum Mechanics, where positions and momenta for two particles are perfectly correlated irrespective of the distance between them which Einstein called as a "spooky action at a distance". So, assuming "no spooky action at a distance", the particles must have precisely specified value all along since the moment they were separated.
Let us suppose, Alice measures the position of one particle and Bob measures the position of the second particle. These two particles are in an maximally entangled state. What the term "maximally" refers to, even I don't know. If you know then please clear that out for me in the comment section. Since properties of these two particles are perfectly correlated, by measuring only her particle, Alice can precisely predict the result of Bob's measurement.
Einstein argued that it could be only possible because Bob's particle already had that precise value of the position that Alice predicted. Nothing on Bob's side changes because of Alice's measurement. Now, since the two measurements are separated by a distance, there had to be hidden variable to precisely describe the position of the particle measured by Bob.

Now, Alice can also predict the momentum of Bob's particle without disturbing it. Now, assuming no spooky action, the momentum of Bob's particle can also be specified irrespective of Alice's measurement. So, this leaves us with precise values of position and momentum for Bob's particle at the same time which contradicts Heisenberg's Uncertainty Principle proving for a while that Quantum Mechanics is not a complete theory. There should be a hidden variable that precisely determines the state of a particle.
To it, Bohr argued that, since no physical measurement was done on the particles, it cannot prove that the two properties co-exist with a definite value. A physical decisive test was not possible until 1964 when John Bell at CERN showed that a statistical experiment with EPR-like pairs could quantitatively compare the predictions of EPR with those of Quantum Mechanics. The results of analyses of polarizations of many photons pairs done in the early 1980s convincingly proved that Quantum Mechanics had it right. It proved that Quantum Mechanics has inherently in it an element of non-locality-a subtle connection between two matters irrespective of the distance between them, which defies philosophical implications.
Quantum Teleportation Protocol
Quantum Teleportation is a process by which Quantum Information can be transferred from one location to another with the help of classical communication. It is important because it holds the potential to make Human Teleportation a reality. It is to be noted that Quantum Teleportation is not a form of transportation, rather it is a communication process which transfers the information about the quantum state of a particle from one location to another i.e. it is limited to transfer of information rather than matter itself. Quantum Entanglement is the backbone of Quantum Teleportation.
Before we move ahead to describe the working of Quantum Teleportation, I recommend my readers to have a read about Superposition, Qubits and Quantum Gates from my early post on Quantum Computing: The Next Generation Computing Giants to better grasp the idea behind the protocol precisely. This I request in order to make this post a little bit shorter. In addition to that, I want to discuss here the Bell State which is vital to the protocol.
Bell States
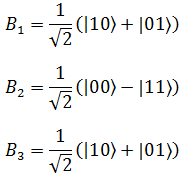
The Bell States, as I read from the sources are the four maximally entangled quantum states of two qubits. Suppose, we consider the up and down spin of a photon pair. Let us assign the photon being in the spin-up state as the logic state
and that in the spin-down state as logic state
. Then, the Bell State
is defined as,
.png)
Where, A and B refers to the respective photons. Omitting the subscripts A and B the above Bell State can also be written as,
.png)
Similarly, the other three Bell States are defined as,
.png)
Having known the minimum required basics of the Bell States let us move ahead to the Quantum Teleportation Protocol.
The Protocol
Let us assume that Alice has a single qubit state in superposition in her possession given by,
which she wants to teleport to Bob. Also, Alice and Bob share the Bell State,
.png)
The whole protocol can be summarized pictorially as shown below:
.png)
Now, the combined state of the three qubits can be written as:
.png)
Now, in terms of Bell States,
.png)
Hence,
.png)
Now, Alice performs a Bell State Measurement(BSM) on her qubit to be teleported and her share of the Bell State
. The measurement results in one of the four Bell States with equal probability of
i.e.
.png)
Now, the posterior state of the three qubits after the measurement is either of the following four states, i.e. either
or
or
or
.
Now, Alice calls up to Bob through a classical channel and tells Bob which one of the four Bell States she got. If Alice tells him that she got
, he understands that his qubit is already in the state
which is the qubit to be teleported and he leaves the qubit as it is. If Alice tells that she got
, Bob understands that his qubit is in the state
and he performs the Bit Flip Gate(Pauli-X gate) operation on his qubit and generates the state
. The operation is mathematically shown as,
.png)
If Alice tells Bob that she got
, Bob understands that his qubit is in the state
and he performs the Phase Flip( Pauli-Z Gate) operation and generates the state
which is mathematically represented as,
.png)
And if she tells that she got
, Bob has his qubit in the state
. So he perfoems the Bit Flip Gate(X) followed by a Phase Flip Gate(Z) and generates the state
which is represented as,
.png)
We observe that an exact replica of the state
has been generated at Bob's location. Now, the state of the generated qubit is exactly the same as that Alice initially had, it is as if the state
has been teleported from Alice's location to Bob's. This sums up the whole idea of Quantum Teleportation Protocol.
How Quantum Teleportation Protocol Can Lead to Human Teleportation?
Now, this is where we finally arrive at the Human Teleportation. The human body is composed of many billions of the fundamental particles like electrons, protons etc. If somehow we could design a machine that could scan our whole body and find out the quantum state of every single particle, we could use the Quantum Teleportation Protocol to generate an exact replica of all the quantum states of the particles in our body at another location with some other particles at that location,then our job is done. Whatever appears at that location is the exact replica of my body. A new "me" materializes at that location. However, in this process, the original "me" has to be destroyed according to the No-Cloning Theorem. Now, whatever we just did, isn't that a fascinating and revolutionary idea? It is as if I have been teleported from my location to another. However, it is to be noted that no physical matter has been teleported here, rather the quantum states of the particles of my body has been regenerated at that location. If you could not follow what I just discussed I request you to have a re-look on it or you could also watch this video by Michael Nielsen:
Philosophical Aspects
Now, this idea raises some philosophical questions. Is the new "me" that materializes really "me"? As the new "me" generated at the new location has completely the same features of the original me, it raises the question that "Does only the quantum information of my particles characterizes me rather than the particles itself?" "Is reality merely a matter of information?"These are the hot debates that are going on between the philosophers and the scientists.
The idea of Quantum Teleportation was first proposed in a paper by C. H. Bennett, G. Brassard, C. Crepeau, R. Jozsa, A. Peres and W. K. Wootters in 1993. Quantum Teleportation was first achieved in a single photon. Later, it was successfully demonstrated in atoms, ions, electrons etc. In a recent time in 2016, Quantum Teleportation over a record-distance of 1400 km was achieved using the Micius satellite for space-based quantum teleportation by China. However, it has not been achieved yet on molecules. If all goes right, we may one day be living in a high tech world where people will travel from one location to another location through teleportation. Isn't that a great idea?
References:
- Book: Quantum Computation and Quantum Information by Michael A. Nielsen and Isaac L. Chuang
- Phys.org: Einstein vs Quantum Mechanics, and Why He'd Be a Convert Today
- APS Physics: Focus: What’s Wrong with Quantum Mechanics?
- Youtube: Quantum Computing for The Determined by Michael Nielsen
- Youtube: Quantum Mechanics and Quantum Computation by Umesh Vazirani
- Wikipedia
- My Experience Through My Project Work

If you love dreaming and learning science then please follow me at
@physics-o-mania
Don't Forget to Read My Previous Articles here
If you are interested in various domains of Science and Mathematics then join the @steemSTEM project, team to support high quality STEM(Science,Technology, Engineering and Mathematics) related contents. Join them in steemit.chat to interact with the science authors from all over the world.

Thank you for reading my content !!

I don't have a source, but I'm certain Interstellar was not the first movie to have teleportation, that just doesn't sound right. There were star trek movies, and while I haven't watched any of them, I'm sure they used a teleporter.
I'll be honest, I'm too tired to read the rest of the post atm, but I will tomorrow. It looks very interesting.
Oh the poor knowledge of me. Thank you for pointing that out. Upgrading it. And please have the time to read the rest part. Thanks a lot.
hey dude, interesting and extensive posts there. this is the first i found by accident :) lucky me
Thank you for this valuable compliment. Wish to be in contact. Following you
That's a fascinating concept!
Yeah...revolutionary
Thats a cool concept bro. Really loved reading it.