Análisis de Circuitos de corriente alterna (CA) en paralelo

En esta publicación les presentaré los resultados de investigación sobre acerca del circuito RC, es decir de resistencia y capacitor, este un circuito que cuenta con infinidad de aplicaciones, para ello se establece en primer lugar el desarrollo matemático del mismo , acompañado de un argumento teórico y seguido de los datos recolectados en el laboratorio donde hice mi investigación y los cálculos de las corriente en cada elemento y el diagrama fasorial del circuito.

En el montaje experimental de un circuito RC en paralelo, se utilizaron los siguientes materiales:

• Reóstato, el cual se fijó en el valor de 170Ω.
• Una fuente de poder de corriente alterna de 120V
• Banco de capacitores DL2021 de 16µF.
• Amperímetros.
• Voltímetro.

El montaje de un circuito RC en paralelo se realizó bajo el siguiente esquema de trabajo:

Con la utilización los amperímetros, el circuito se transforma en:

Procedimiento Experimental:

Se procedió a la instalación del reóstato con el banco de capacitores en paralelo y se colocaron los Amperímetros en serie con el Reóstato, el capacitor y el con la fuente de voltaje respectivamente, se conectó a la fuente de corriente alterna y se energizó. Luego de realizar la medición del voltaje de entrada, se procedió a medir la corriente total que atravesaba el circuito, y la corriente que pasaba por el reóstato y el capacitor respectivamente. Una vez se obtuvieron las mediciones requeridas, se apagó la fuente y se desmontó el circuito.

Datos recolectados

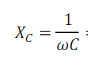
Para calcular el valor teórico de la Reactancia Capacitiva.

Dónde: ω=2πf C=16µF=16x10-6F

XC=165.786Ω

Para calcular el valor práctico de la Reactancia Capacitiva

Donde: V=120V
Ic=0.78A

XC=153.846Ω

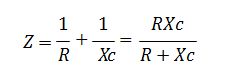
Para Calcular el valor de la Impedancia Capacitiva

Donde, por ley de Ohm:

𝑅 =𝑉/𝐼𝑐=120𝑉/0.64𝐴= 187.5Ω

Zc= 187,5 ∗ 153,84/187,5 + 153,84 = 84,506Ω

Resultados obtenidos




Diagrama fasorial de corrientes del circuito RC

•Magnitud de la corriente (AC) total: It = (Ir2+ Ic2)1/2
•Angulo de desfase: α = Arctang (Ic/Ir)

Se pudo observar que al comparar los datos obtenidos tanto teóricamente como prácticamente, hubo una variación entre los mismos, sin embargo, algunos de los valores obtenidos en el laboratorio se asemejan mucho a los que fueron obtenidos mediante procedimientos analógicos. Dicha variación se debe al margen de error que poseen los instrumentos utilizados al igual que de los equipos de medición, como los voltímetros y amperímetros analógicos utilizados para medir el valor del voltaje y la corriente respectivamente; los reóstatos que, al tener mucho tiempo sin ser usados, han afectado su calibración, por lo que los mismos pudieron influir en que algunas medidas teóricas no coincidieran con los cálculos experimentales.

En el circuito RC analizado, los valores de las reactancias capacitivas teóricas y prácticas difieren por aproximadamente 12 ohmios de diferencia, un valor significativo, el cual puede ser causado por el banco de capacitores el cual puede estar un poco descalibrado o los instrumentos de medición, en este caso amperímetro, el cual estaba colocado en serie al capacito.

Referencias Bibliográficas

Análisis de circuitos en ingeniería -William H. Hayt
Fundamentos de circuitos eléctricos-Gordon J. Alexander y Sadiku, Matthew N.
Circuitos eléctricos para la ingeniería-Antonio J. Conejo Navarro

Sort:  

me encantan los circuitos mi profesor de electrotecnia siempre me decia que yo tenia una facilidad para esa materia, yo solia imaginarme a la corriente fluir por los circuitos y los entendia me pusieran lo que pusieran. disfrute recordando mediante iba leyendo tu articulo. gracias por el repaso.

tema con uso infinito

Buenas @gerardoalfred, este post se ha votado a través del Proyecto Cervantes 'Posts de Calidad'. Un saludo.

gracias por el apoyo

Coin Marketplace

STEEM 0.05
TRX 0.29
JST 0.044
BTC 68043.89
ETH 1971.53
USDT 1.00
SBD 0.38