VCVS Low-Pass Filter Actual Experiment with simulation using Circuit simulator (tutorial)
What Will I Learn?
- About Filtering a Signal.
- Actual design and construction of a VCVS Low-Pass Filter
- Calculate cut-off frequency
- Apply the filter in Audio system
Requirements
- Basic skills in constructing Electronics circuit.
- Electronics Components.
- Electronics Laboratory Equipments.
Difficulty
- Intermediate
Tutorial Contents
In Electronics communication where it involves a great number of signal applications, filter plays a very important role in it, this experiment that I had done which is a Sallen key low-pass filter is one of it.
One of the most common application of this circuit is that when you have a certain signal that you want to receive without receiving other signals that are considered interferences around your receiver, this circuit can do the job and the concept is basically similar as the radio receiver the difference is that in radio receiver you can adjust or select the frequency that want by just turning the variable capacitor.
In this tutorial before we are going to do the steps in constructing the Sallen key low-pass Filter let us first define what filter is and how it works.
What is a Filter?
From the word itself filter means to remove or to filter something, In electronics it is just the same it’s just that we are dealing with signals, for newbie in engineering signals means that you are dealing with frequencies, which is a very important thing because almost everything is resonating at a certain frequency.
Filter composed of resistors and capacitors depending on the design this could be cascaded or just a single stage filter in this topic we are just going to use a single stage low-pass filter.
So how does it work? As we know capacitor is a device that stores and release energy the concept that this filter works is that because of resistor and capacitor arrangement in this case low-pass filter resistor is connected in series with capacitor, as the frequency changes there is an effect to the capacitor the higher the frequency capacitor acts like a short circuit that cause this frequencies to be attenuated to the ground (since the end of the capacitor is connected to ground)the frequency that they are going to filter depends in the values of capacitor and resistor we call this cut-off frequency in low-pass filter frequencies below it will be allow to pass and above it will be attenuated.
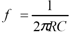
The formula for calculating the cut-off frequency is :
The Circuit Diagram:
Electronics Components
Resistors – R1=R2=33k and RA=RB=10k 2pcs each.
Capacitors – C1=C2=0.22uf 2pcs and IC - LM-741 operational amplifier.
Procedure:
- Construct the circuit based in the diagram above and supply it with power source
- Input a certain signal from any signal generator to the circuit and generator signal must have an adjustable frequency.
- Measure the input and output signal through oscilloscope use channel 1 and 2 to visualize the effect of filtering.
- Calculate the cutt-off frequency to figure out where the frequency started to be filtered.
- Observe the filtering action above the cutt-off frequency since we are using low-pass filter.
Signal Filtering Action:

In this illustration we were inputting about 5 Hz signal so it does not yet start its filtering action but when it reaches above the calculated cutt-off frequency we will notice a lot of attenuation in that circuit the calculated cutt-off frequency would be 20 Hz, so above that signal will be attenuated.
This is at 10 Hz signal notice that signal still passes because we have not yet reach to 20 Hz above.


At 60 Hz there is already noticeable attenuation of its amplitude.

At 75 hz Signal is already being filtered we observed that its amplitude almost go straight means it is already a small amount of its amplitude.
Simulation Using Circuit Simulator:
96Hz "Clearly the signal inputted attenuates"

In my circuit I had inputted frequencies started from 5 Hz to 100 Hz we can see frequencies below 20Hz which is the cut-off are still in volts unit while as we go beyond this cut-off it started to decrease until it goes millivolts(mV) that proves that signals above cutt-off were being filtered.
The Table above is the list of inputs and outputs I had gathered from the actual work of the circuit, the measurements are based in the oscilloscope.
How to Apply the Signal Filtering circuit in Audio system.
in Audio system in Audio system in Audio system.
An RL and RC circuits act as a passive high-pass and low-pass audio frequency filters. Their effect is clearly evident when listening to music (or white noise). The way how we do the actual connections to filter the noise in the audio systems are just easy.Connect the Resistor and capacitor based in the circuit below and choose the frequency you want to eliminate in the desired audio tone output.
If you are experimenting with low output signal audio system you can amplify it by operational amplifiers just like at the first diagram above to have a greater output power but the op-amp must be a high power rating also don't use any more the LM-741 for greater power application. You can also replace the resistor with potentiometer for you to adjust the cutt-off frequency that you desired so the effects would be a change of tone of the speaker.
And there you have it you can already connect that circuit to your audio output if you want to have some fun with the output tone of your speaker or audio amplifier just remember the power rating of your components when your using IC like op-amps.
This tutorial would be great for engineers, student and also for electronics hobbyist.
Curriculum
Posted on Utopian.io - Rewarding Open Source Contributors








Thank you for the contribution. It has been approved.
You can contact us on Discord.
[utopian-moderator]
Hey @deathwing, I just gave you a tip for your hard work on moderation. Upvote this comment to support the utopian moderators and increase your future rewards!
Thank you @deathwing:) God bless
You're doing bro! nag summer ka?
Summer ta fugatss
Hey @ceszar I am @utopian-io. I have just upvoted you!
Achievements
Community-Driven Witness!
I am the first and only Steem Community-Driven Witness. Participate on Discord. Lets GROW TOGETHER!
Up-vote this comment to grow my power and help Open Source contributions like this one. Want to chat? Join me on Discord https://discord.gg/Pc8HG9x