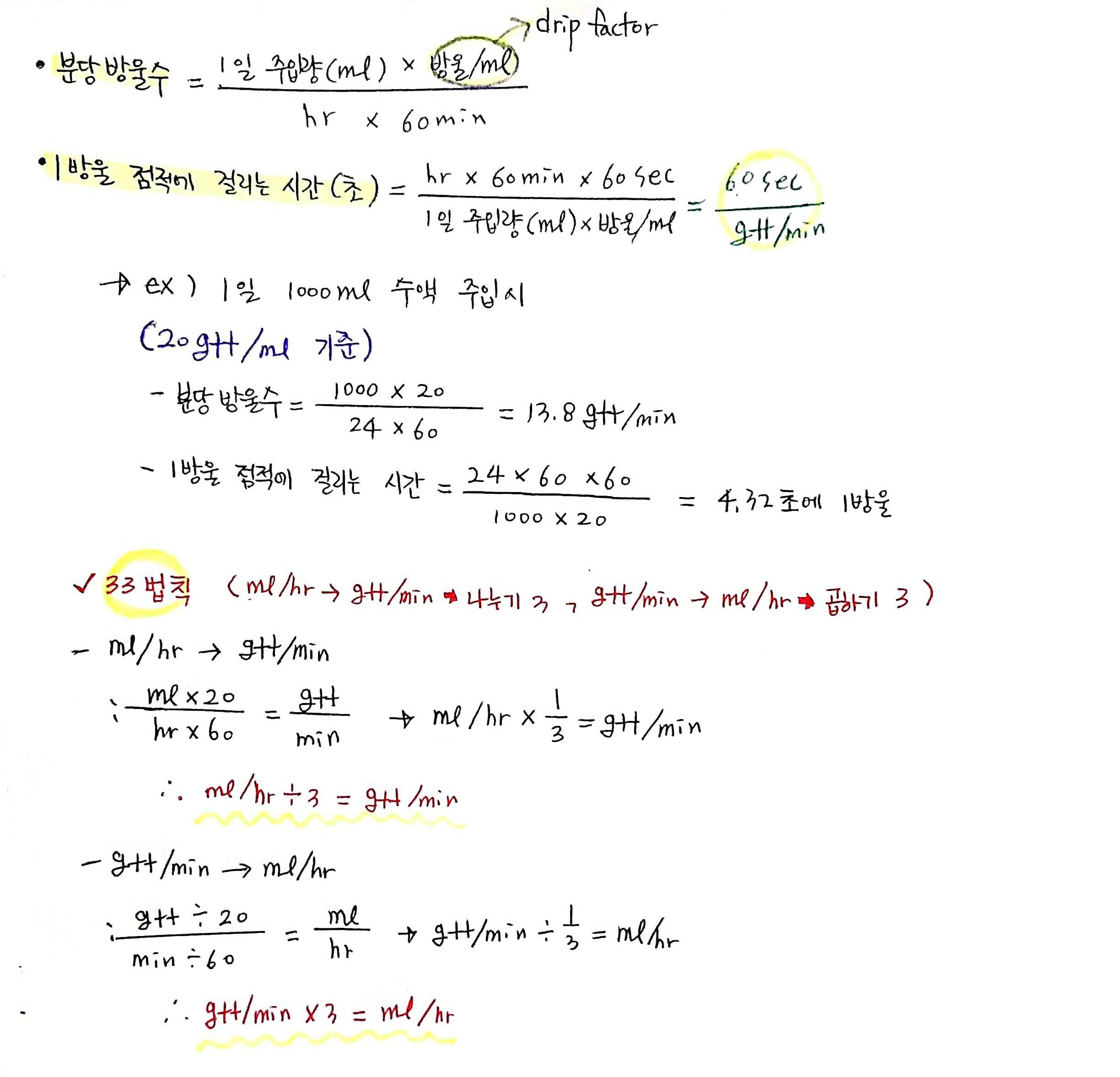
기본간호학) 수액 주입속도 계산domisol (45)in #kr • 7 years ago 봐도 봐도 뒤돌아서면 까먹는 주입속도 계산법😕 Posted using Partiko Android #kr-newbie #cyberrn #nurse #jjangjjangman #partiko
짱짱맨 호출에 응답하였습니다.
감사합니다!
Posted using Partiko Android
스팀잇에 오신 걸 환영합니다~~
네 안녕하세요!😄
Posted using Partiko Android
분명 눈은 읽고있는데요. 봐도 봐도 모르겠는 기분. 😂
Posted using Partiko iOS
그래도 계속 보고 또 보다보면 익숙해지겠죠??😢
Posted using Partiko Android
그렇겠죠! 분명 하실수 있을거에요 힘내세요 :)